Poslední aktualizace :
18/03/2026
Beta blokatorius   Carvedilol  
Geriamas tirpalas
Stabilumas farmacinių preparatų Mišinių stabilumas Stabilumą lemiantys veiksniai Suderinamumas Bibliografija pdf
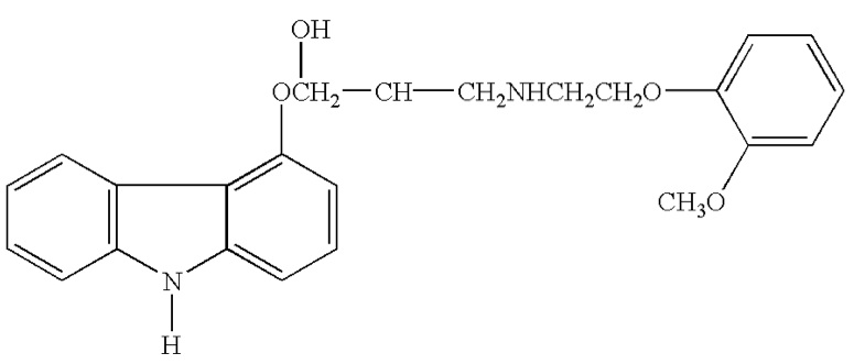
   Cheminė sandara  

Geriamas tirpalas
Mišinių stabilumas   Geriamas tirpalas   Mišinių stabilumas : Carvedilol     
Nėra duomenų

  Mentions Légales