Останнє оновлення :
17/12/2025
Бета-адреноміметики   Carvedilol  
Розчин для перорального застосування
Стабільність фармацевтичних препаратів Стійкість сумішей Фактори, що впливають на стабільність Сумісність Список літератури pdf
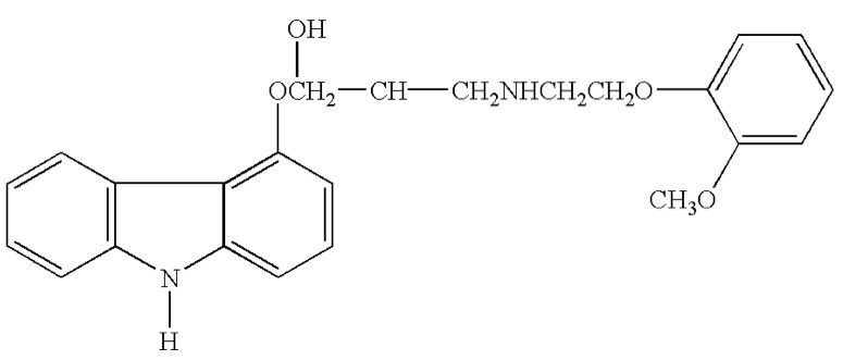
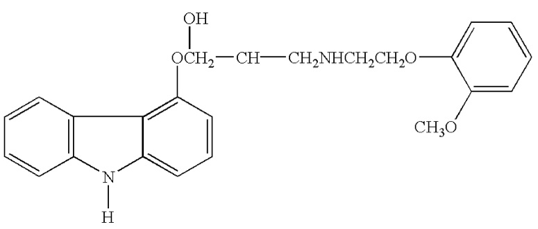
   Хімічна структура  

Розчин для перорального застосування
Сумісність   Розчин для перорального застосування   Сумісність : Carvedilol              
7 / 5 000 Résultats de traduction Немає даних

  Mentions Légales