Pēdējā atjaunošana :
18/03/2026
Beta adrenoblokators   Carvedilol  
Orāls šķīdums
Stabilitāte farmaceitisko preparātu Maisījuma stabilitāte Stabilitāti ietekmējoši faktori Saderība Literatūras saraksts pdf
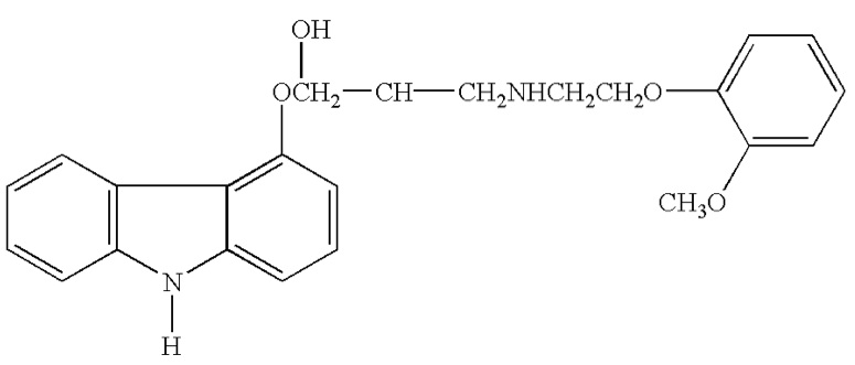
   Ķīmiskā uzbūve   

Orāls šķīdums
Maisījuma stabilitāte   Orāls šķīdums   Maisījuma stabilitāte : Carvedilol     
Nav datu

  Mentions Légales