Последно актуализиране :
05/12/2025
Бета-блокер   Carvedilol  
Орален разтвор
Стабилност на лекарствени препарати Стабилност на смеси Фактори, повлияващи стабилността Съвместимост Библиография Pdf
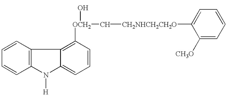
   Химична структура  

Орален разтвор
Стабилност на смеси   Орален разтвор   Стабилност на смеси : Carvedilol     
Няма данни

  Mentions Légales