Останнє оновлення :
18/03/2026
Протигрибковий   Amphotericin B  
Ополіскувач ротової порожнини
ін'єкція аерозоль Очні краплі Розчин для перорального застосування
Стабільність фармацевтичних препаратів Стійкість сумішей Фактори, що впливають на стабільність Сумісність Список літератури pdf
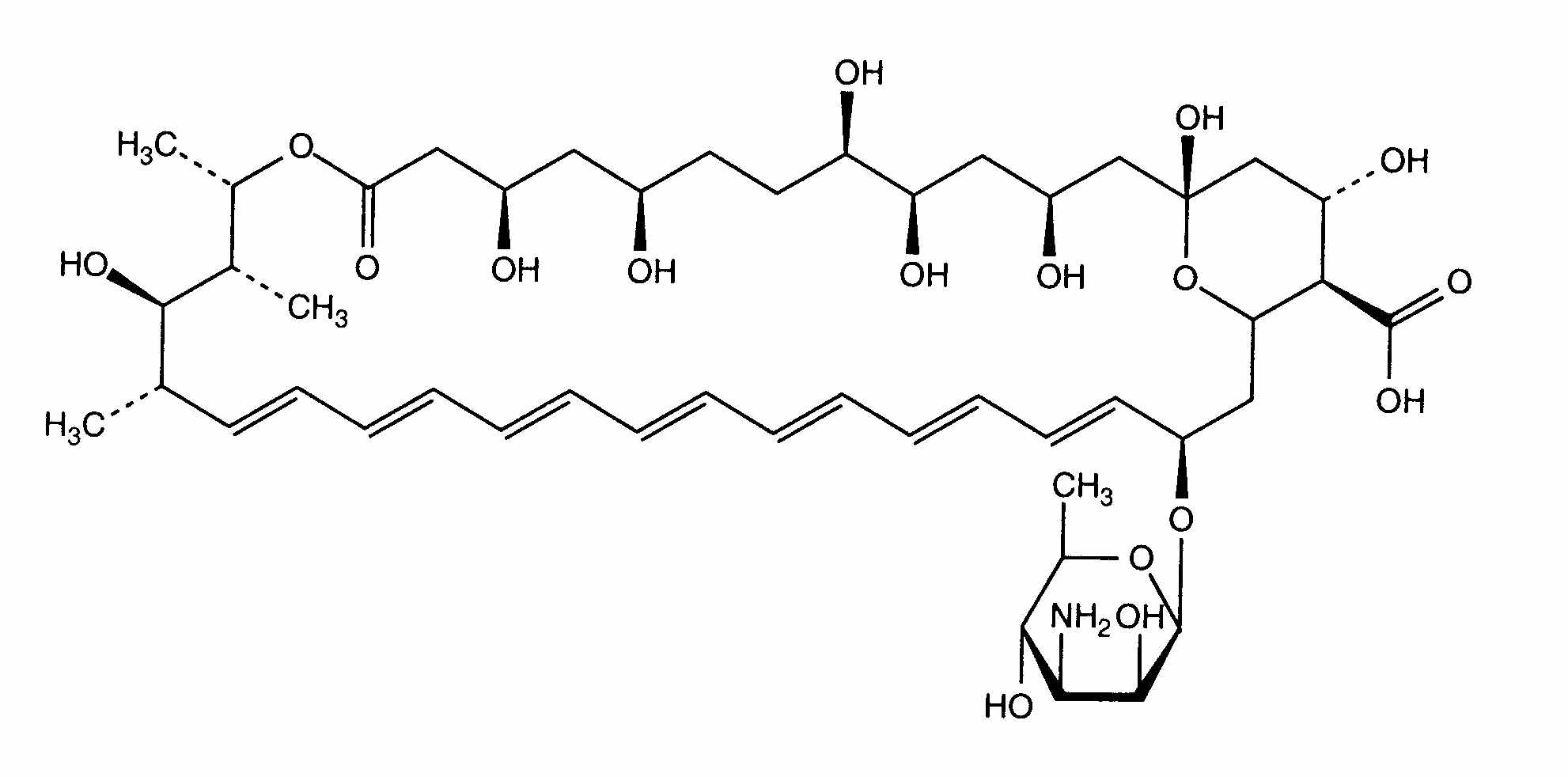
   Хімічна структура  

Ополіскувач ротової порожнини

Фактори, що впливають на стабільність   Ополіскувач ротової порожнини   Фактори, що впливають на стабільність : Amphotericin B        
7 / 5 000 Résultats de traduction Немає даних

  Mentions Légales