Τελευταία ενημέρωση :
18/03/2026
Αντιμυκητικό   Amphotericin B  
Στοματικό διάλυμα
Αεροζόλ Ενέσιμο Οφθαλμικές σταγόνες Πόσιμο διάλυμα
Σταθερότητα και συμβατότητα των φαρμάκων Σταθερότητα σε μίγματα Παράγοντας που επηρεάζει τη σταθερότητα Συμβατότητες Βιβλιογραφία pdf
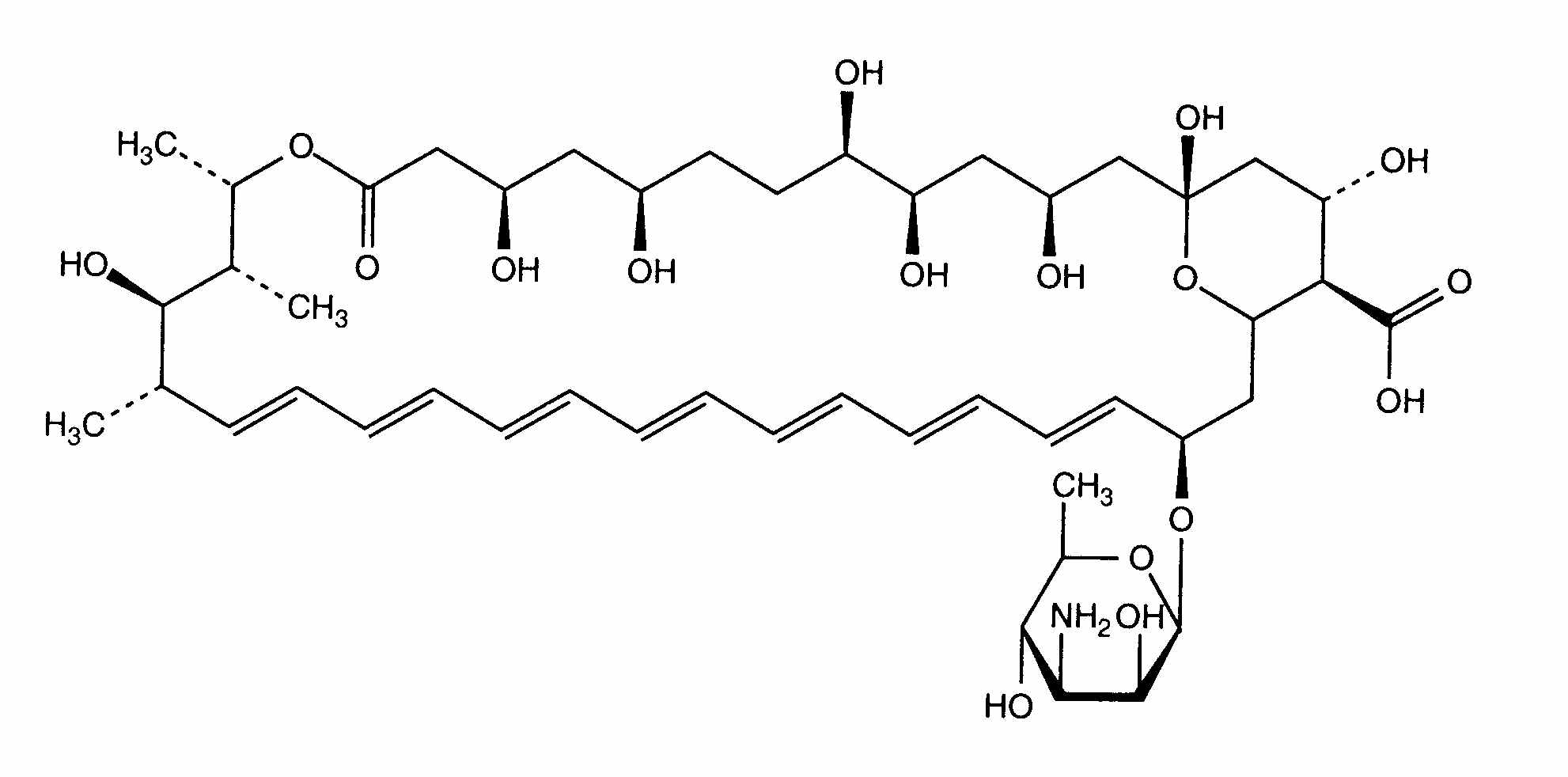
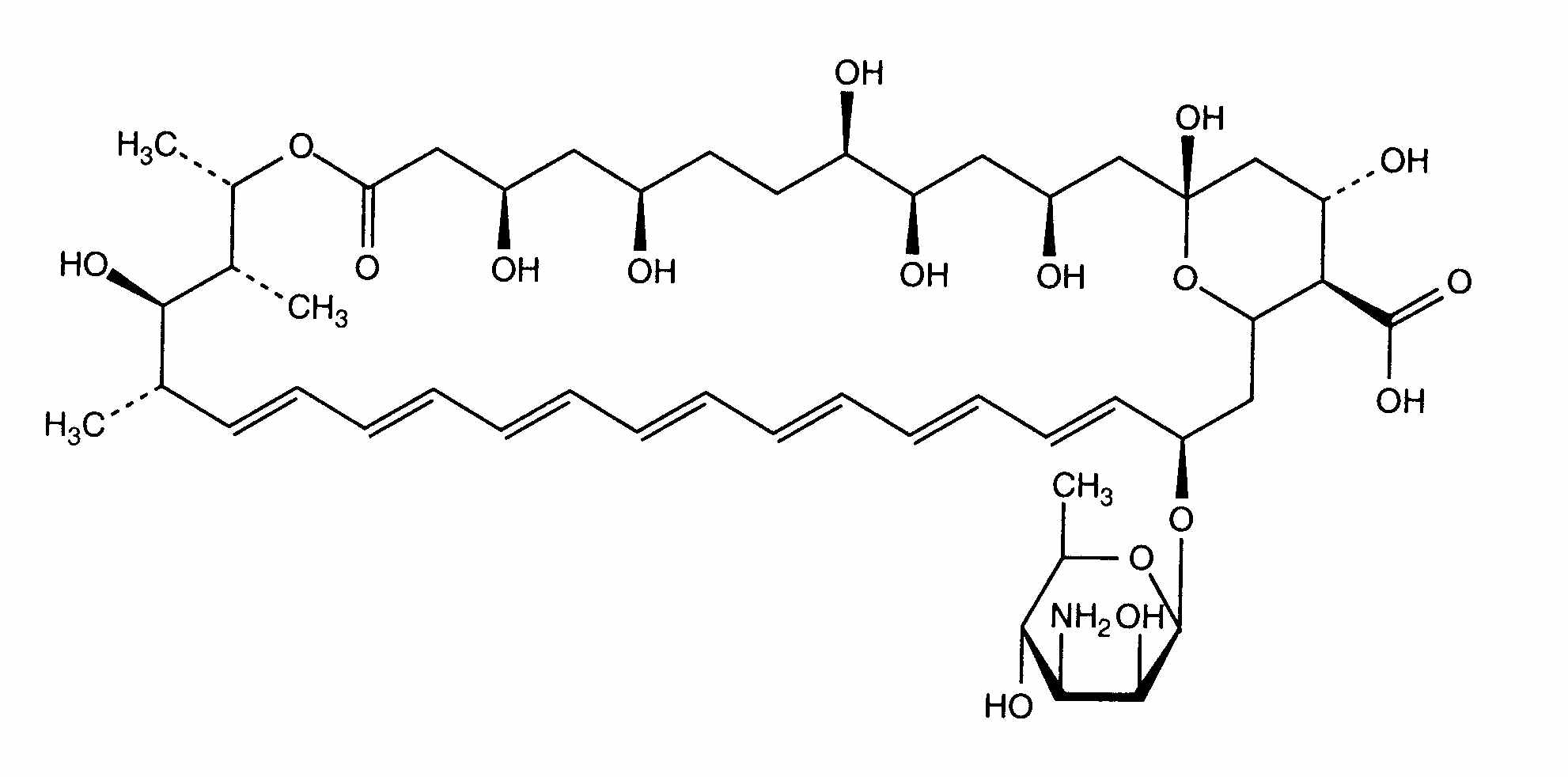
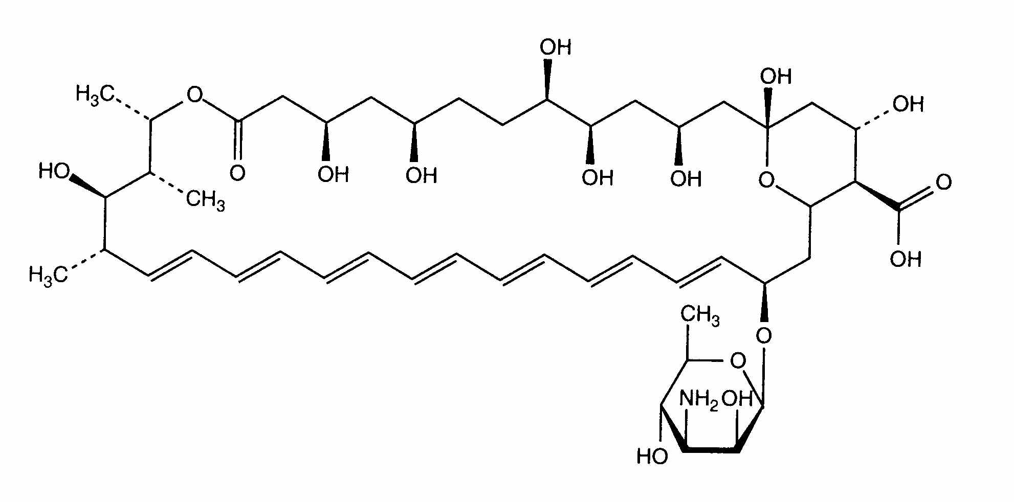
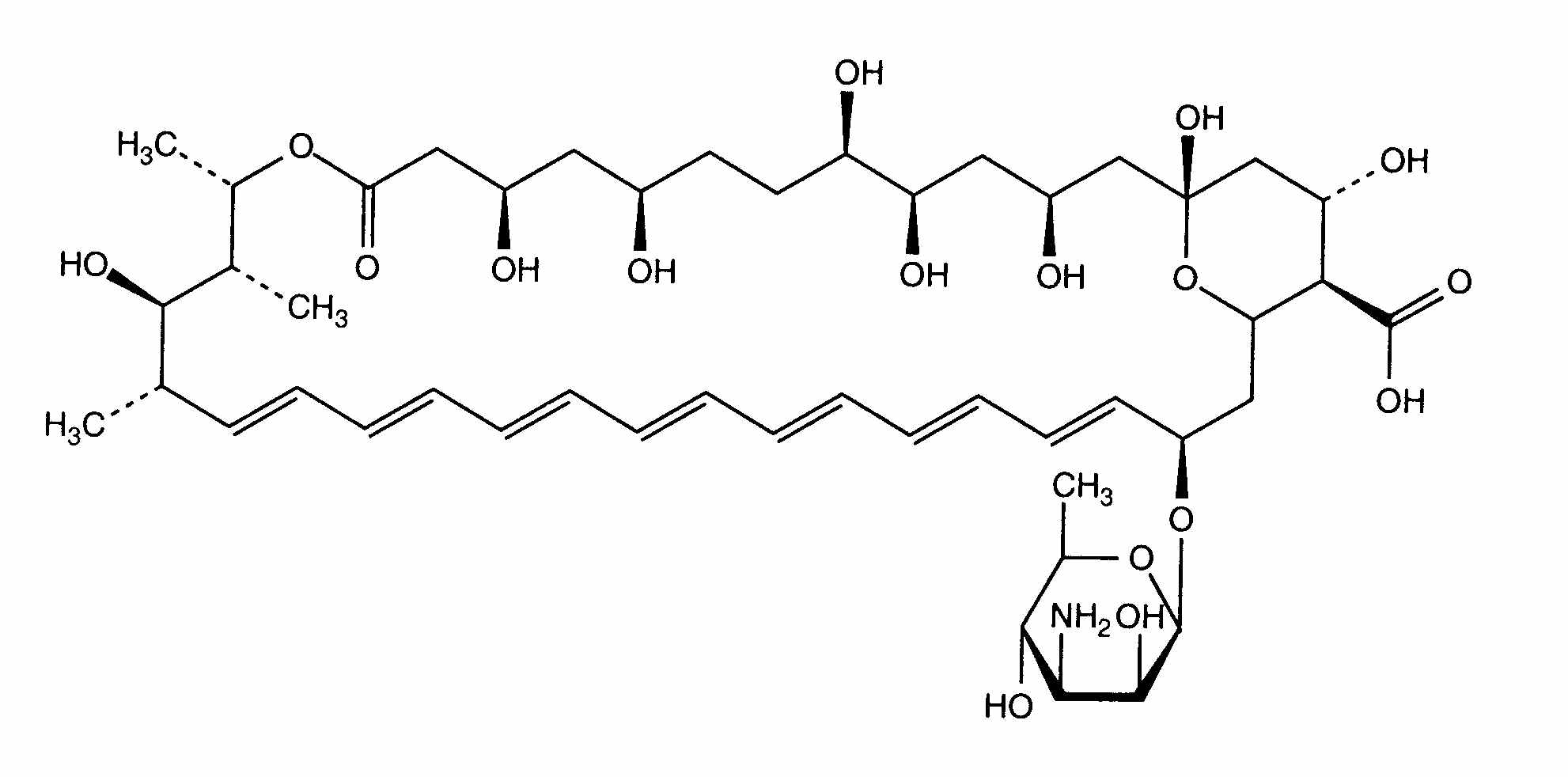
   χημική δομή  

Στοματικό διάλυμα

Παράγοντας που επηρεάζει τη σταθερότητα   Στοματικό διάλυμα   Παράγοντας που επηρεάζει τη σταθερότητα : Amphotericin B        
Δεν υπάρχουν πληροφορίες

  Mentions Légales