Dernière mise à jour :
18/03/2026
Antifongique   Amphotericin B  
Gargarisme
Aérosol Collyre injectable Solution buvable
Stabilité des préparations Stabilité en mélange Facteur influençant la stabilité Compatibilités Bibliographie pdf
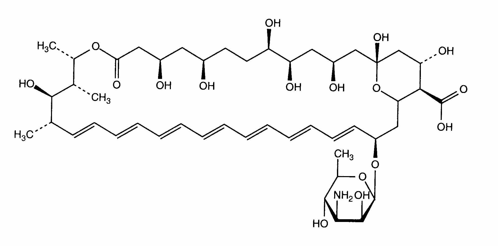
   Structure chimique  

Gargarisme

Facteur influençant la stabilité   Gargarisme    Facteur influençant la stabilité : Amphotericin B        
Aucune donnée

  Mentions Légales