Seneste opdatering :
18/03/2026
Antisvampe   Amphotericin B  
Mundskyllevæske
Aerosol Injektion Oral opløsning Øjendråber
Stabilitet af farmaceutiske tilberedninger Stabilitet i blandinger Faktorer der påvirker stabiliteten Kompatibilitet Bibliografi pdf
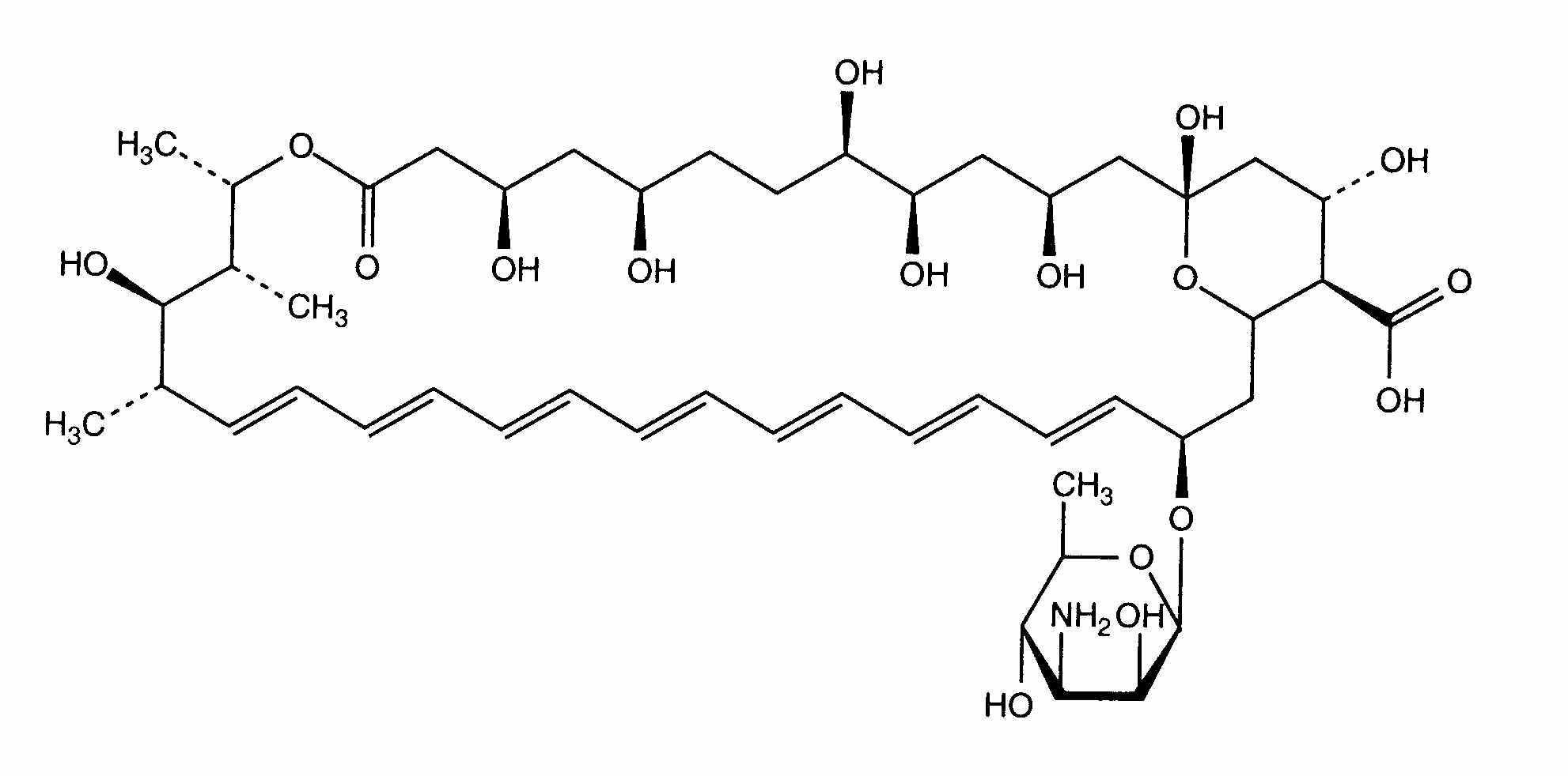
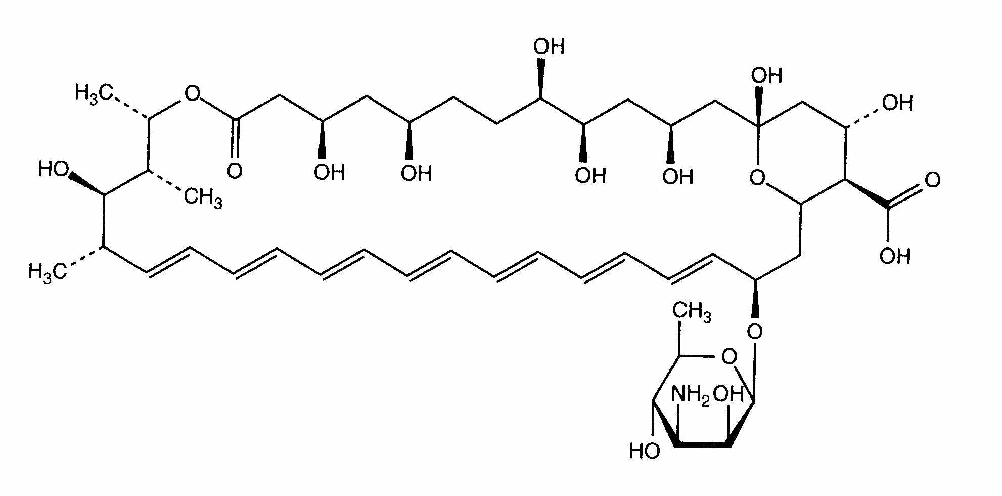
   Kemisk struktur  

Mundskyllevæske

Faktorer der påvirker stabiliteten   Mundskyllevæske   Faktorer der påvirker stabiliteten : Amphotericin B        
Ingen data

  Mentions Légales