Ultimo aggiornamento :
18/03/2026
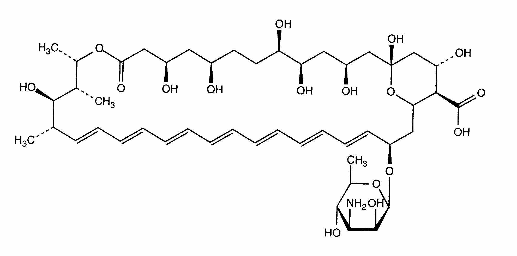
Antimicotico   Amphotericin B  
Collutorio
Aerosol Collirio Iniezione Soluzione orale
Stabilità dei preparati farmaceutici Stabilità in miscela Fattori che influenzano la stabilità Compatibilità Bibliografia pdf
   Struttura chimica  

Collutorio

Fattori che influenzano la stabilità   Collutorio   Fattori che influenzano la stabilità : Amphotericin B        
Assenza di dati

  Mentions Légales