Poslední aktualizace :
18/03/2026
Priešgrybelinis vaistas   Amphotericin B  
Skystis burnai skalauti
Aerozolis Akių lašai Geriamas tirpalas Įpurškimas
Stabilumas farmacinių preparatų Mišinių stabilumas Stabilumą lemiantys veiksniai Suderinamumas Bibliografija pdf
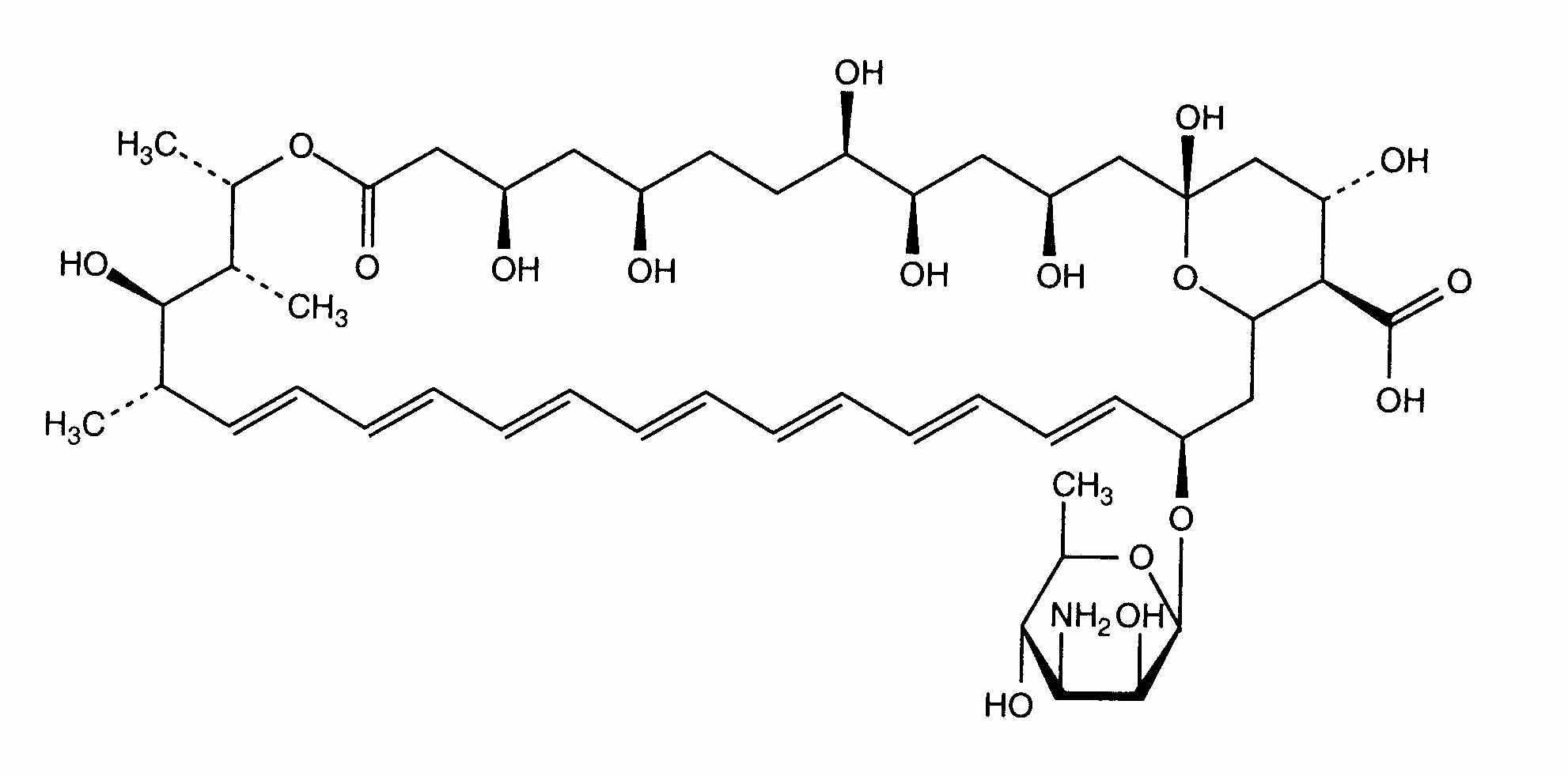
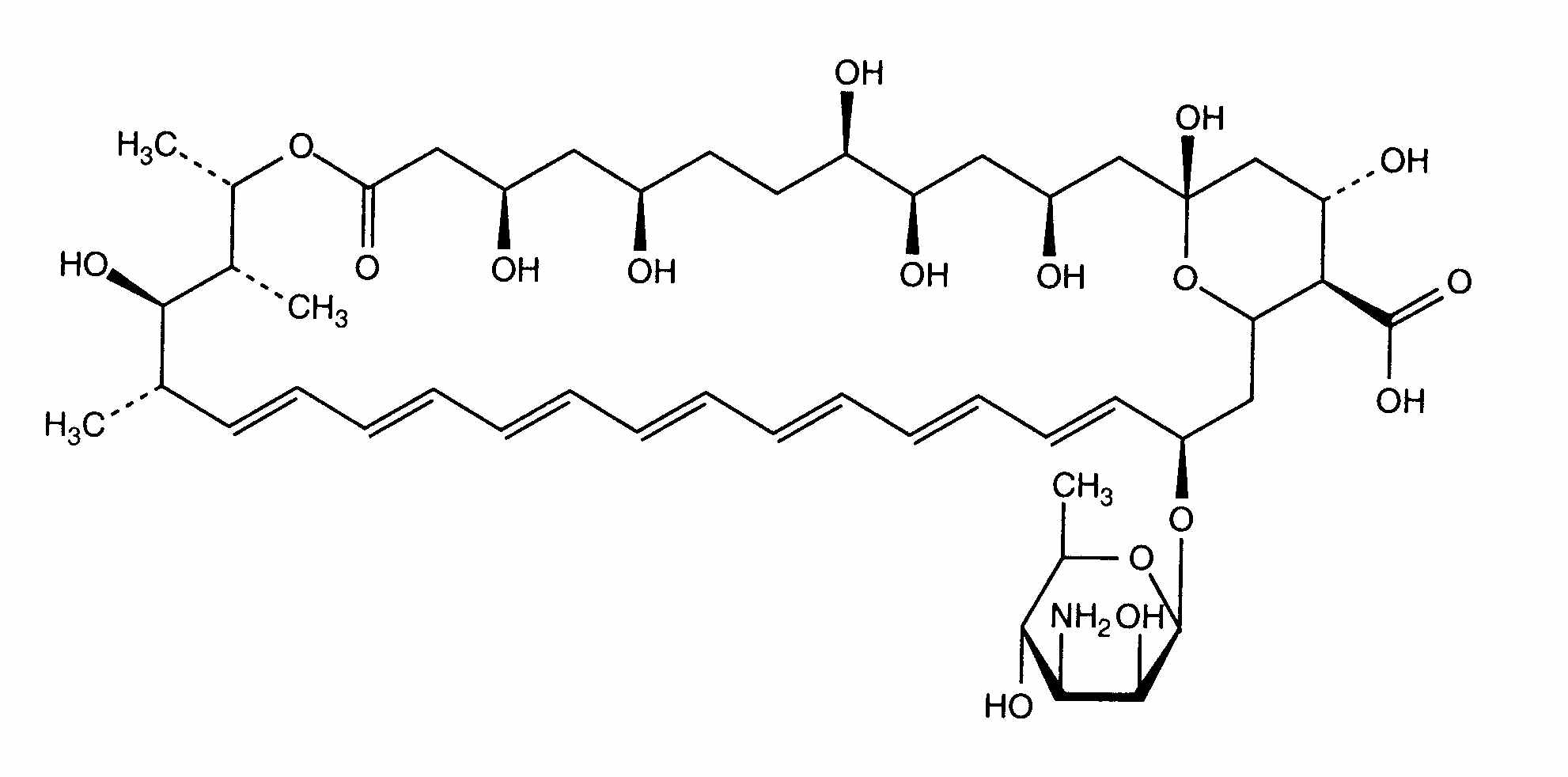
   Cheminė sandara  

Skystis burnai skalauti

Stabilumą lemiantys veiksniai   Skystis burnai skalauti   Stabilumą lemiantys veiksniai : Amphotericin B        
Nėra duomenų

  Mentions Légales