Laatste update :
18/03/2026
Antimycoticum   Amphotericin B  
gorgelen
Aerosol injecteerbaar geneesmiddel Oogwater Orale Oplossing
Stabiliteit van farmaceutische preparaten Stabiliteit in mengsels Factoren die de stabiliteit beïnvloeden Verenigbaarheden Literatuur pdf
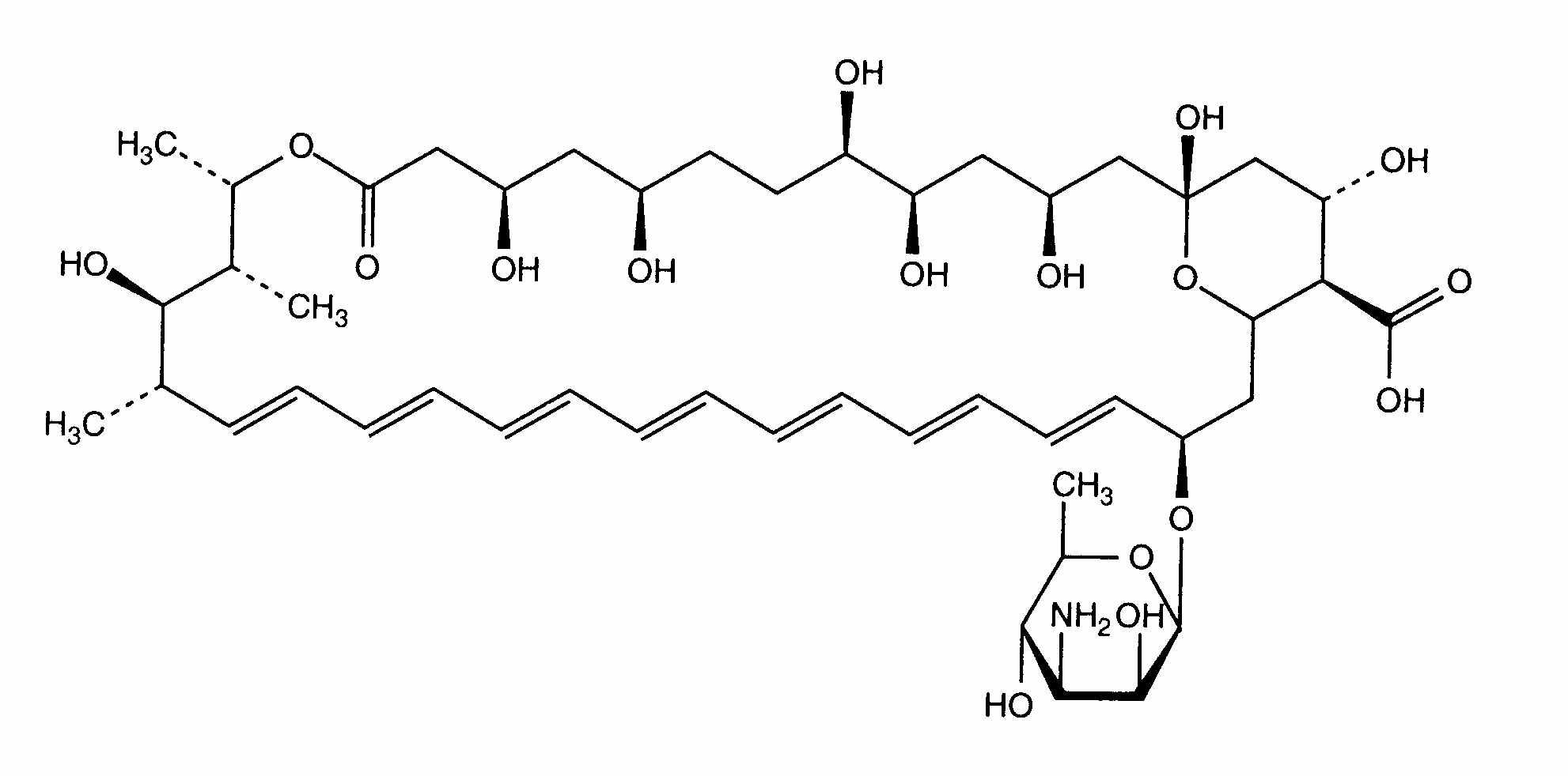
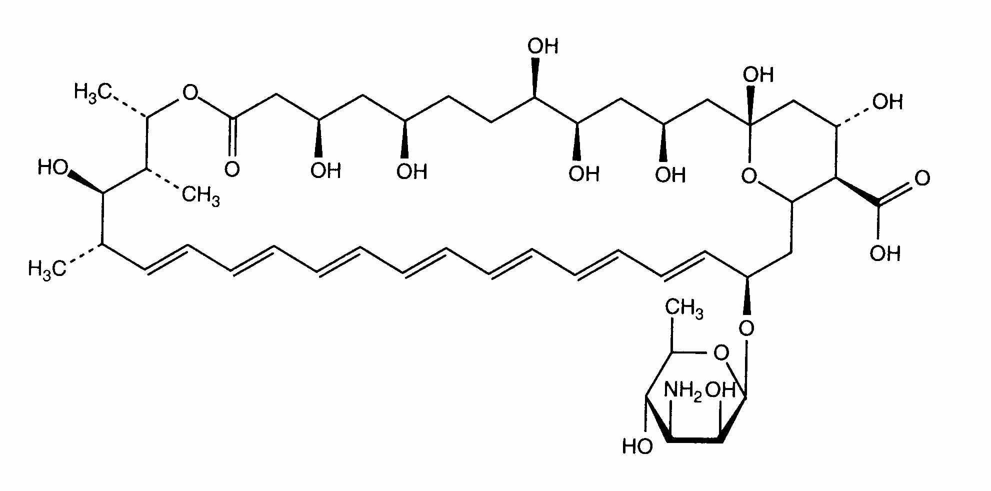
   Molecuulstructuur  

gorgelen

Factoren die de stabiliteit beïnvloeden   gorgelen   Factoren die de stabiliteit beïnvloeden : Amphotericin B        
geen gegevens

  Mentions Légales