Senaste uppdateringen :
18/03/2026
Antimykotikum   Amphotericin B  
Munvatten
Aerosol injektion ögondroppar Oral lösning
Stabilitet av läkemedel Stabilitet i blandningar Faktorer som påverkar stabiliteten Kompatibilitet Hänvisningar pdf
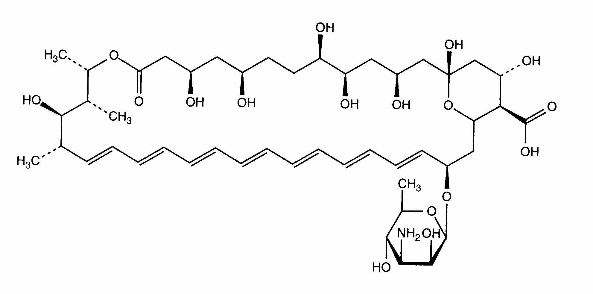
   Molekylstruktur  

Munvatten

Faktorer som påverkar stabiliteten   Munvatten   Faktorer som påverkar stabiliteten : Amphotericin B        
Ingen uppgift

  Mentions Légales