Pēdējā atjaunošana :
18/03/2026
Pretsēnīšu līdzeklis   Amphotericin B  
Mutes skalojamais līdzeklis
Acu pilieni Aerosols Injekcija Orāls šķīdums
Stabilitāte farmaceitisko preparātu Maisījuma stabilitāte Stabilitāti ietekmējoši faktori Saderība Literatūras saraksts pdf
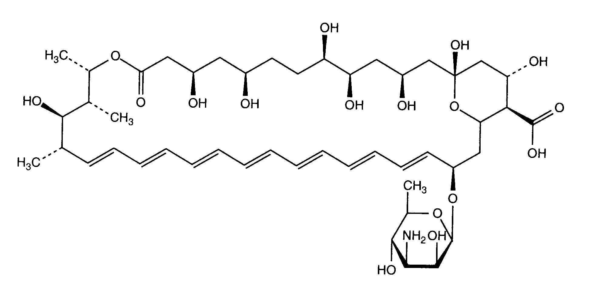
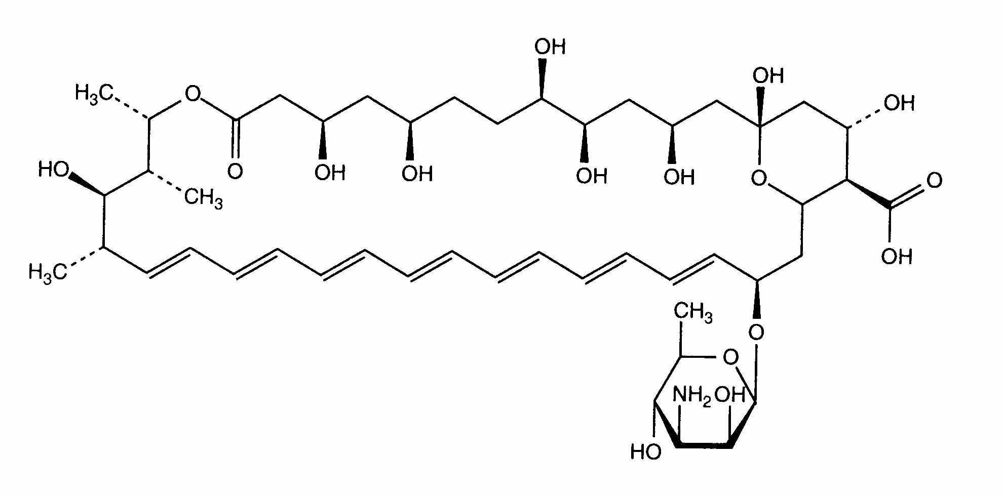
   Ķīmiskā uzbūve   

Mutes skalojamais līdzeklis

Stabilitāti ietekmējoši faktori   Mutes skalojamais līdzeklis   Stabilitāti ietekmējoši faktori : Amphotericin B        
Nav datu

  Mentions Légales