Последнее обновление :
18/03/2026
Противогрибковое средство   Amphotericin B  
Ополаскиватель для полости рта
Аэрозоль Глазные капли Инъекция Раствор для перорального приёма
Стабильность фармацевтических препаратов Стабильность смесей Факторы, которые влияют на стабильность Совместимость Библиография pdf
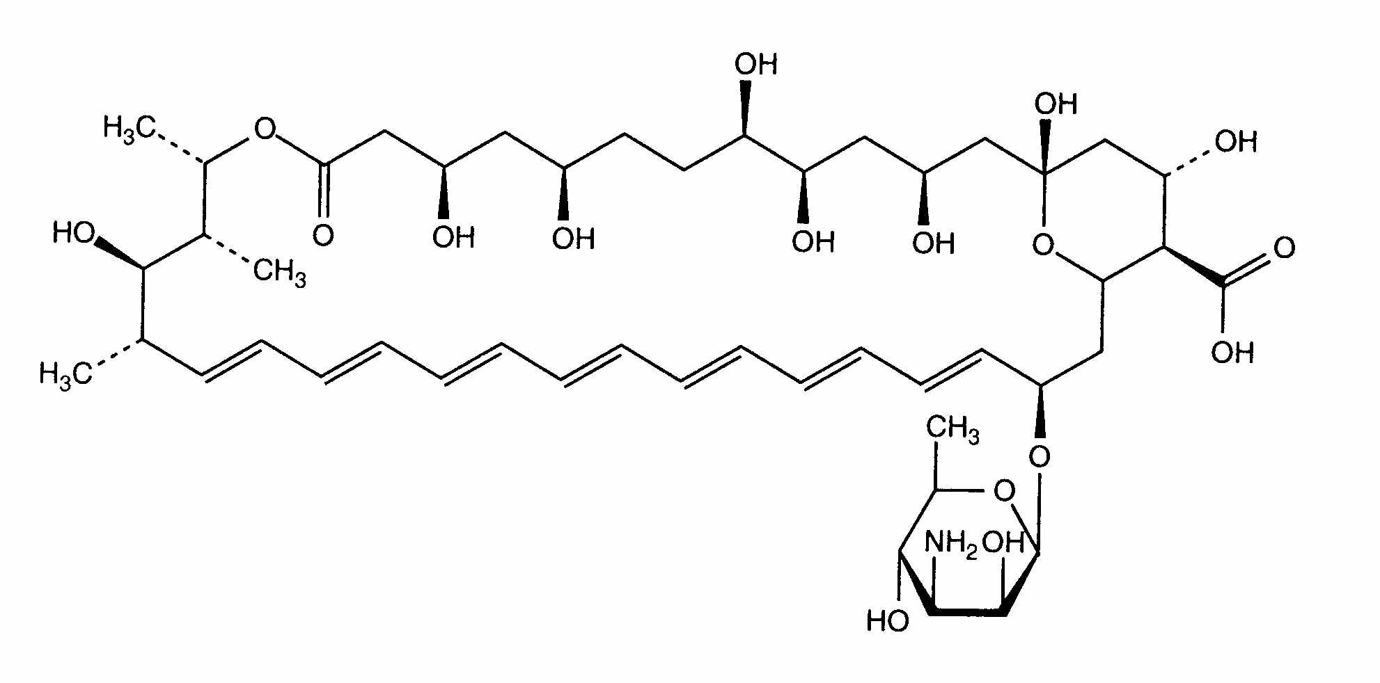
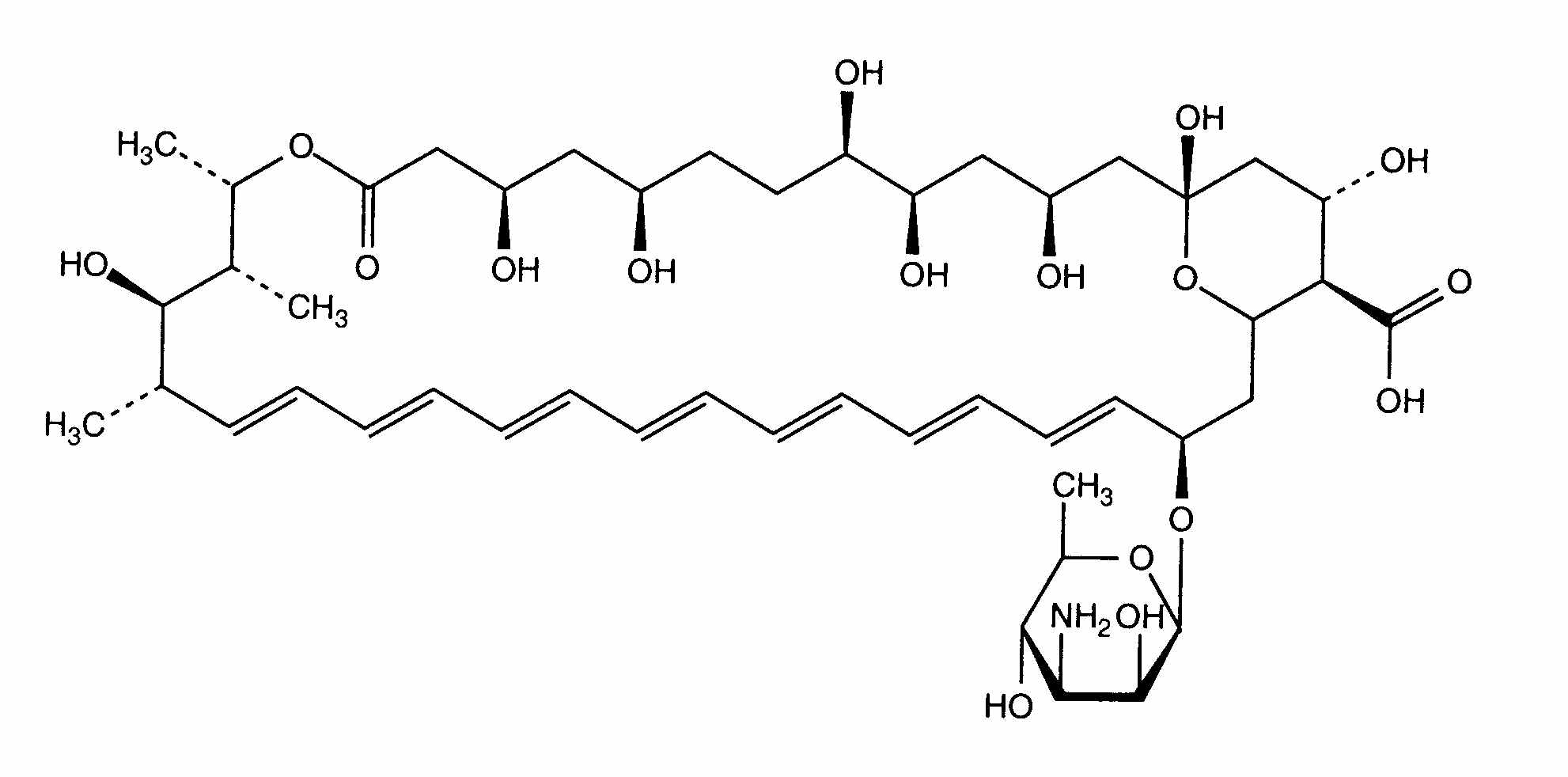
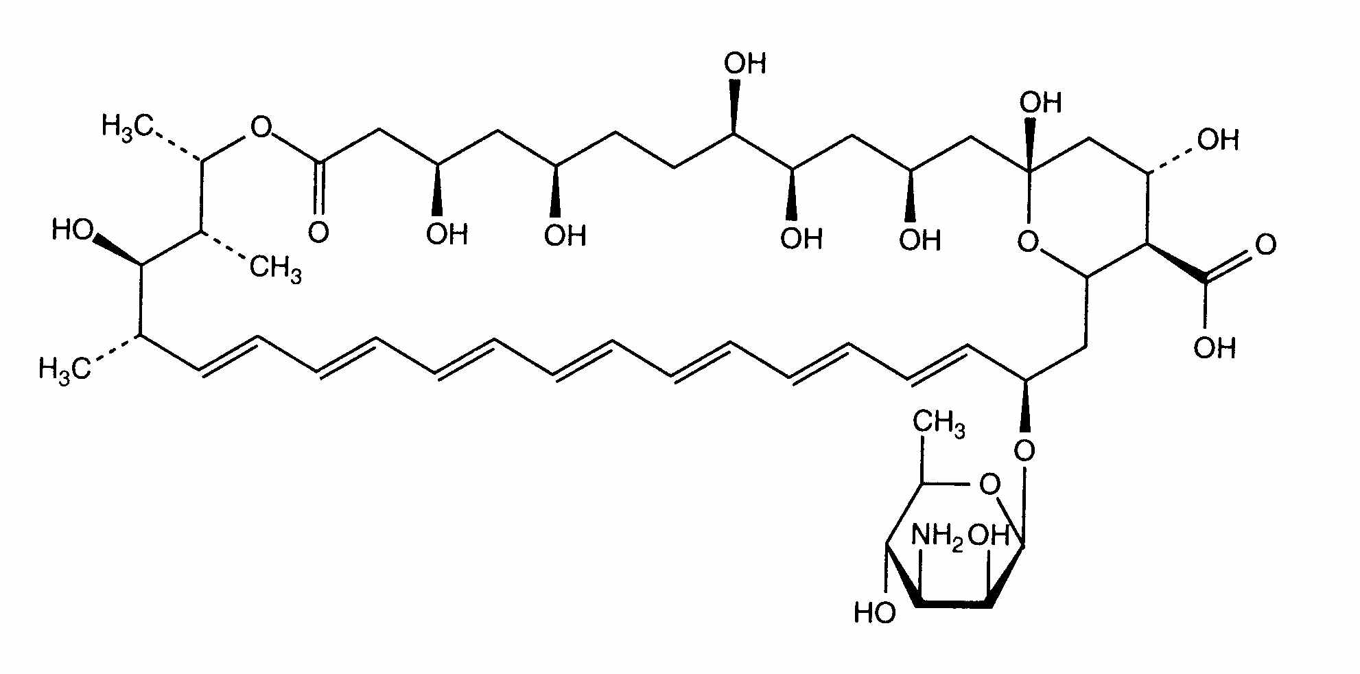
   Химическая структура  

Ополаскиватель для полости рта

Факторы, которые влияют на стабильность   Ополаскиватель для полости рта   Факторы, которые влияют на стабильность : Amphotericin B        
данных нет

  Mentions Légales