آخر تحديث :
18/03/2026
مضاد للفطريات   Amphotericin B  
غسول الفم
الأيروصولات حقن عن طريق الفم  قطرات العين
استقرار المستحضرات الصيدلانية استقرار مخاليط العوامل التي تؤثر على الاستقرار التوافق مراجع pdf
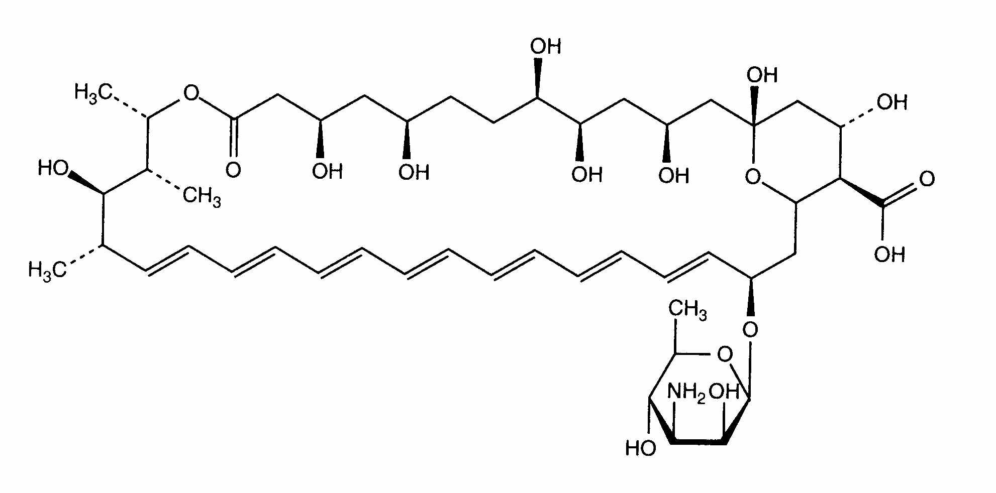
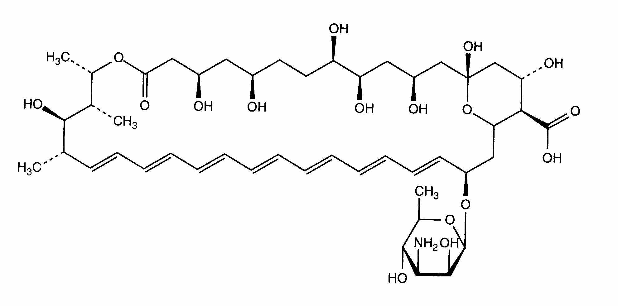
   التركيب الكيميائي  

غسول الفم

العوامل التي تؤثر على الاستقرار   غسول الفم   العوامل التي تؤثر على الاستقرار : Amphotericin B        
لا توجد بيانات

  Mentions Légales