Posledná aktualizácia :
18/03/2026
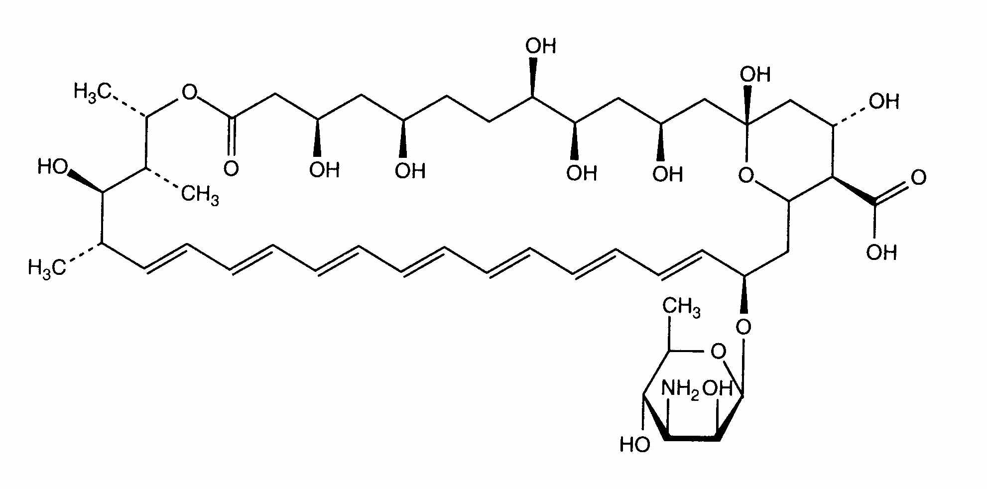
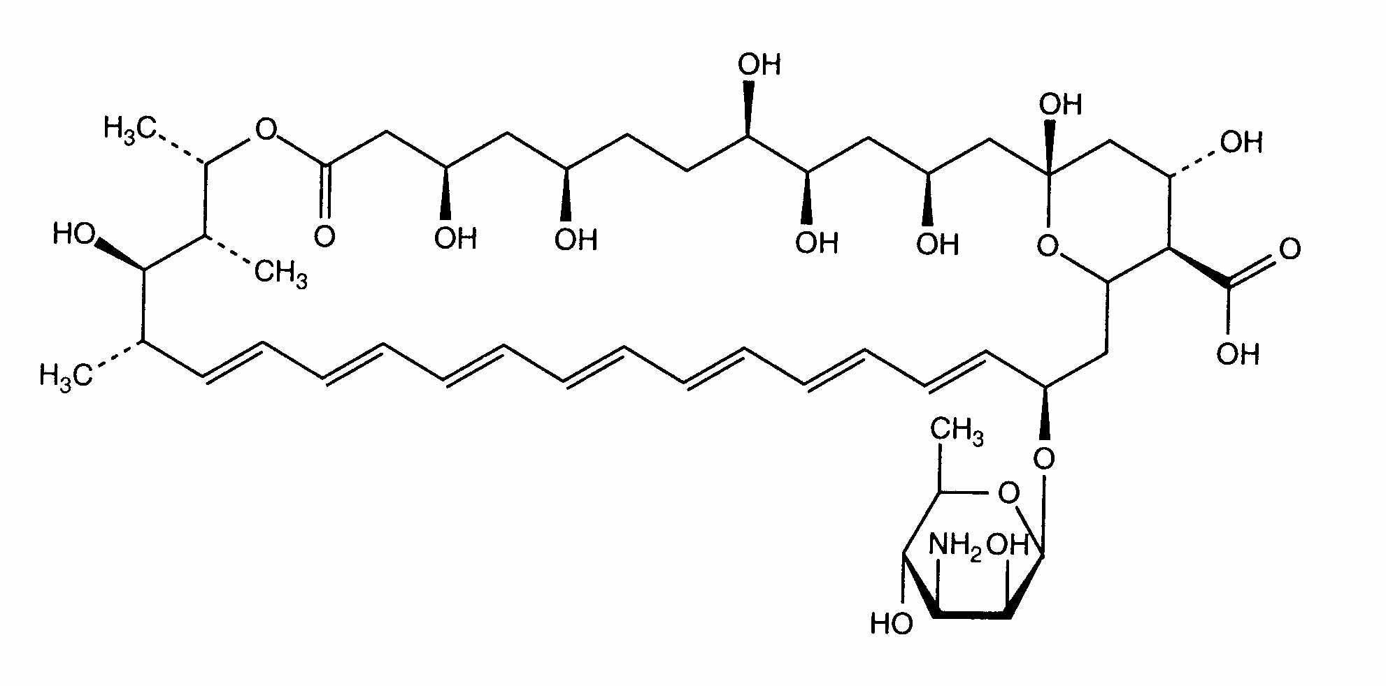
antimykotikum   Amphotericin B  
Kloktadlo
Aerosól Injekcia Očná instilácia Perorálny roztok
Stabilita farmaceutických prípravkov Stabilita v zmesiach Faktory ovplyvňujúce stabilitu Kompatibility Odkazy na literatúru PDF
   Chemický vzorec  

Kloktadlo

Faktory ovplyvňujúce stabilitu   Kloktadlo   Faktory ovplyvňujúce stabilitu : Amphotericin B        
žiadne údaje

  Mentions Légales