Viimeisin päivitys :
18/03/2026
Sienilääkkeet   Amphotericin B  
Suuvesi
Aerosoli Injektioneste Oraaliliuos Silmätipat
Vakaus lääkevalmisteen Stabilius seoksissa Tekijät, jotka vaikuttavat stabiliuteen Yhteensopivuus Viitteet pdf
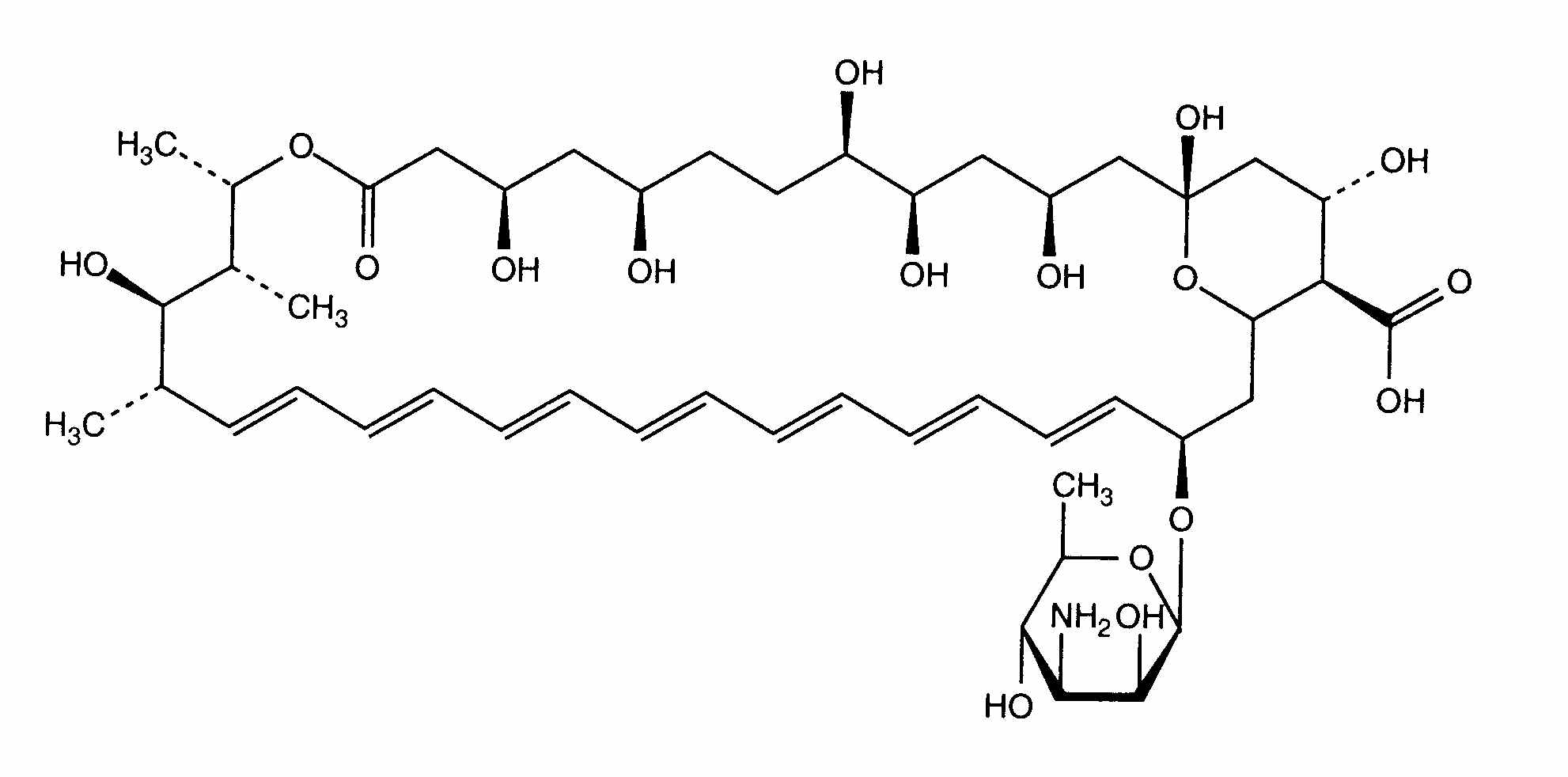
   Kemiallinen rakenne  

Suuvesi

Tekijät, jotka vaikuttavat stabiliuteen   Suuvesi   Tekijät, jotka vaikuttavat stabiliuteen : Amphotericin B        
ei tietoa

  Mentions Légales