Última actualización :
18/03/2026
Antifúngico   Amphotericin B  
Aerosol
Enjuagues bucales Gotas oculares Inyectables Solución Oral
La estabilidad de las preparaciones farmacéuticas Estabilidad en mezcla Factores que influyen sobre la estabilidad Compatibilidades Bibliografía pdf
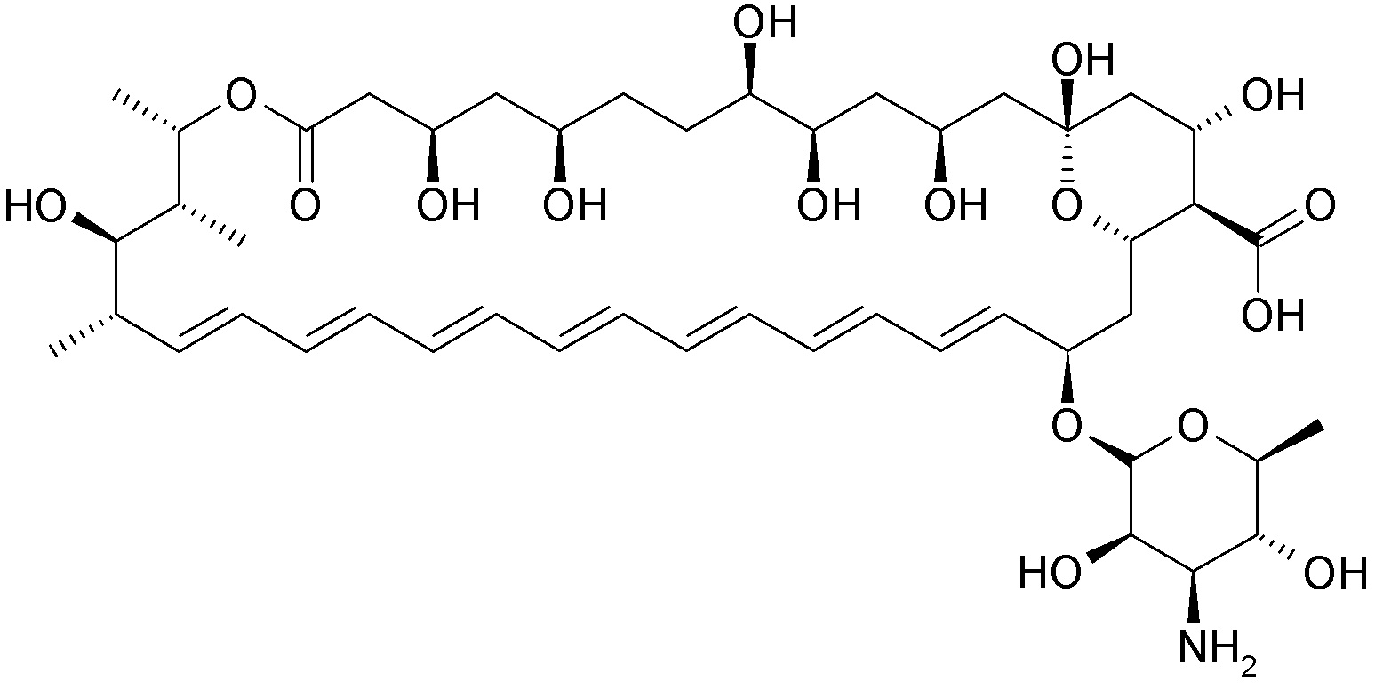
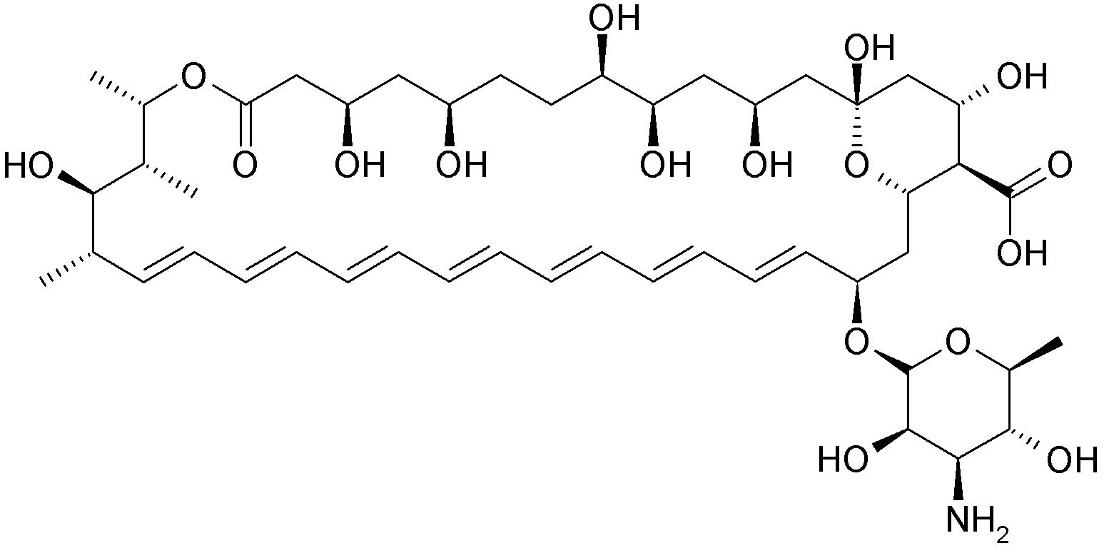
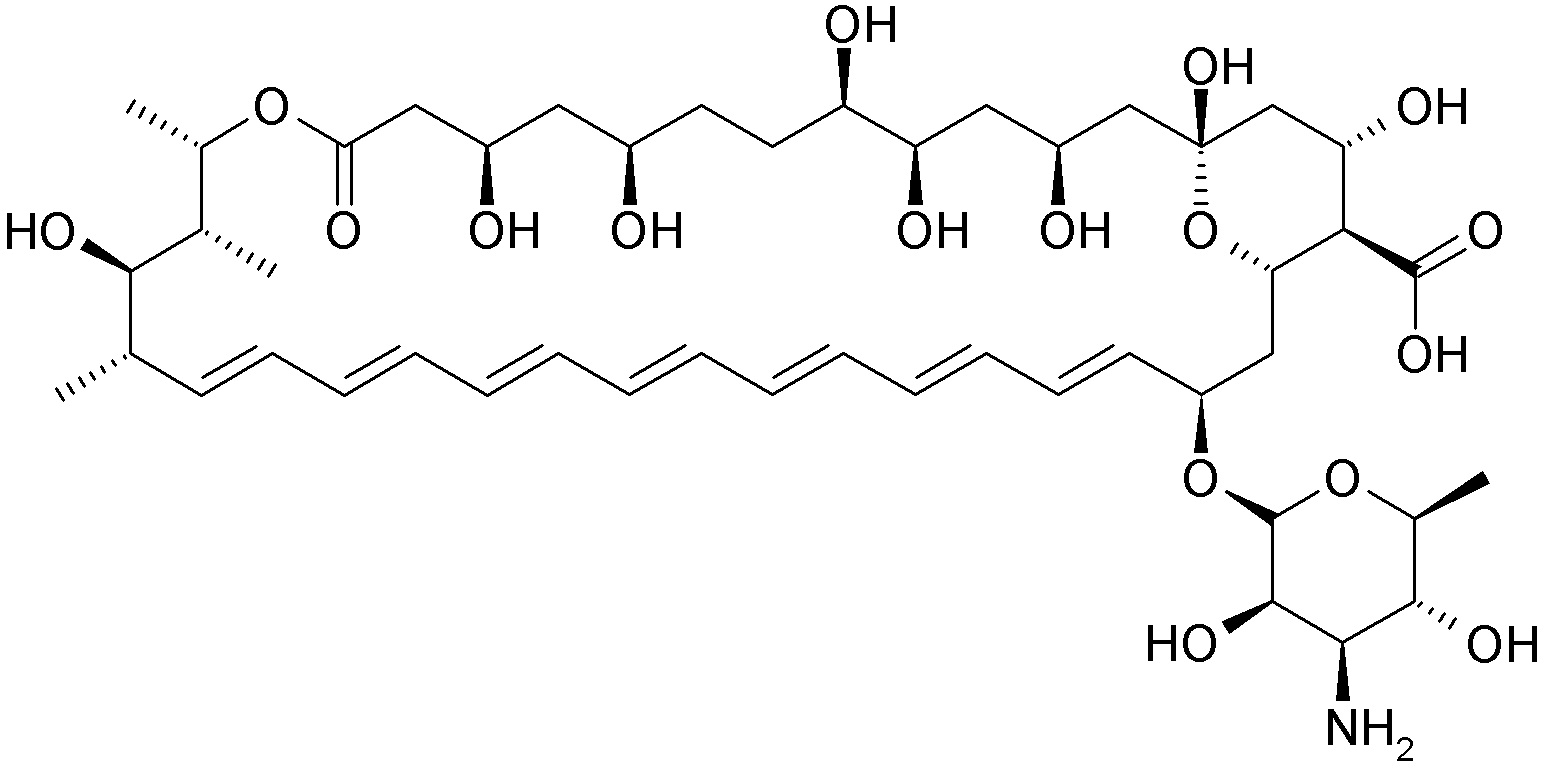
   Estructura química  

Aerosol

Factores que influyen sobre la estabilidad   Aerosol   Factores que influyen sobre la estabilidad : Amphotericin B        
Ausencia de datos

  Mentions Légales