Siste oppdatering :
18/03/2026
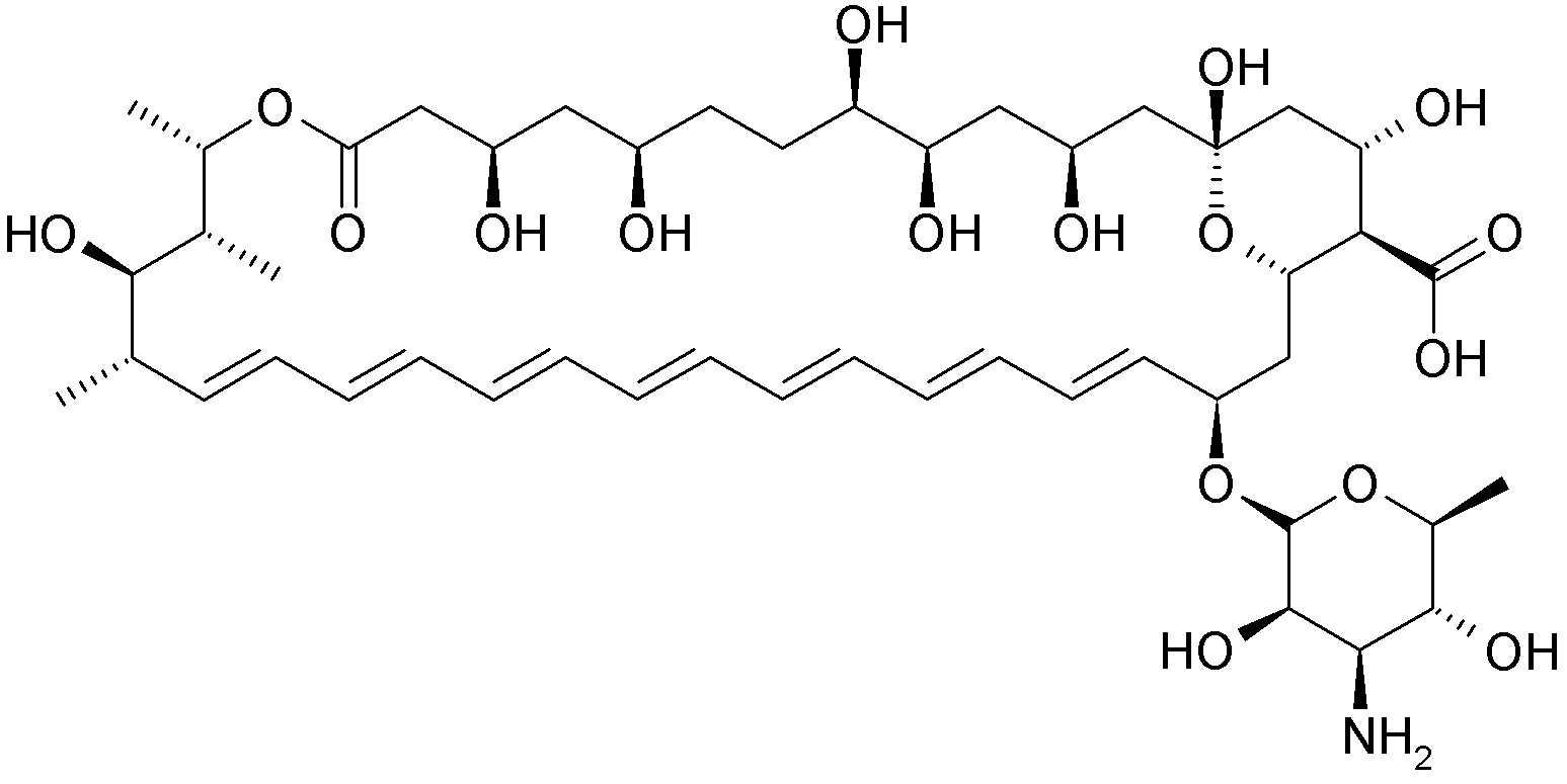
Fungicid   Amphotericin B  
Aerosol
Injeksjon Mikstur Munnvann Øyedråper
Stabilitet av farmasøytiske preparater Stabilitet i blandinger Faktorer som påvirker stabiliteten Kompatibilitet Referanser pdf
   Kjemisk struktur  

Aerosol

Faktorer som påvirker stabiliteten   Aerosol   Faktorer som påvirker stabiliteten : Amphotericin B        
Ingen opplysninger

  Mentions Légales