Τελευταία ενημέρωση :
18/03/2026
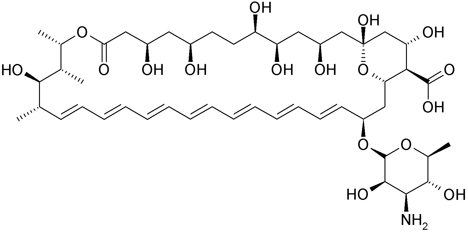
Αντιμυκητικό   Amphotericin B  
Αεροζόλ
Ενέσιμο Οφθαλμικές σταγόνες Πόσιμο διάλυμα Στοματικό διάλυμα
Σταθερότητα και συμβατότητα των φαρμάκων Σταθερότητα σε μίγματα Παράγοντας που επηρεάζει τη σταθερότητα Συμβατότητες Βιβλιογραφία pdf
   χημική δομή  

Αεροζόλ

Παράγοντας που επηρεάζει τη σταθερότητα   Αεροζόλ   Παράγοντας που επηρεάζει τη σταθερότητα : Amphotericin B        
Δεν υπάρχουν πληροφορίες

  Mentions Légales