Dernière mise à jour :
18/03/2026
Antifongique   Amphotericin B  
Aérosol
Collyre Gargarisme injectable Solution buvable
Stabilité des préparations Stabilité en mélange Facteur influençant la stabilité Compatibilités Bibliographie pdf
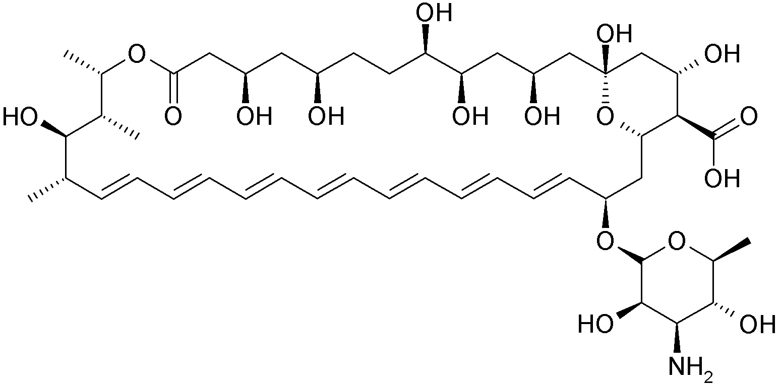
   Structure chimique  

Aérosol

Facteur influençant la stabilité   Aérosol   Facteur influençant la stabilité : Amphotericin B        
Aucune donnée

  Mentions Légales