Última actualização :
18/03/2026
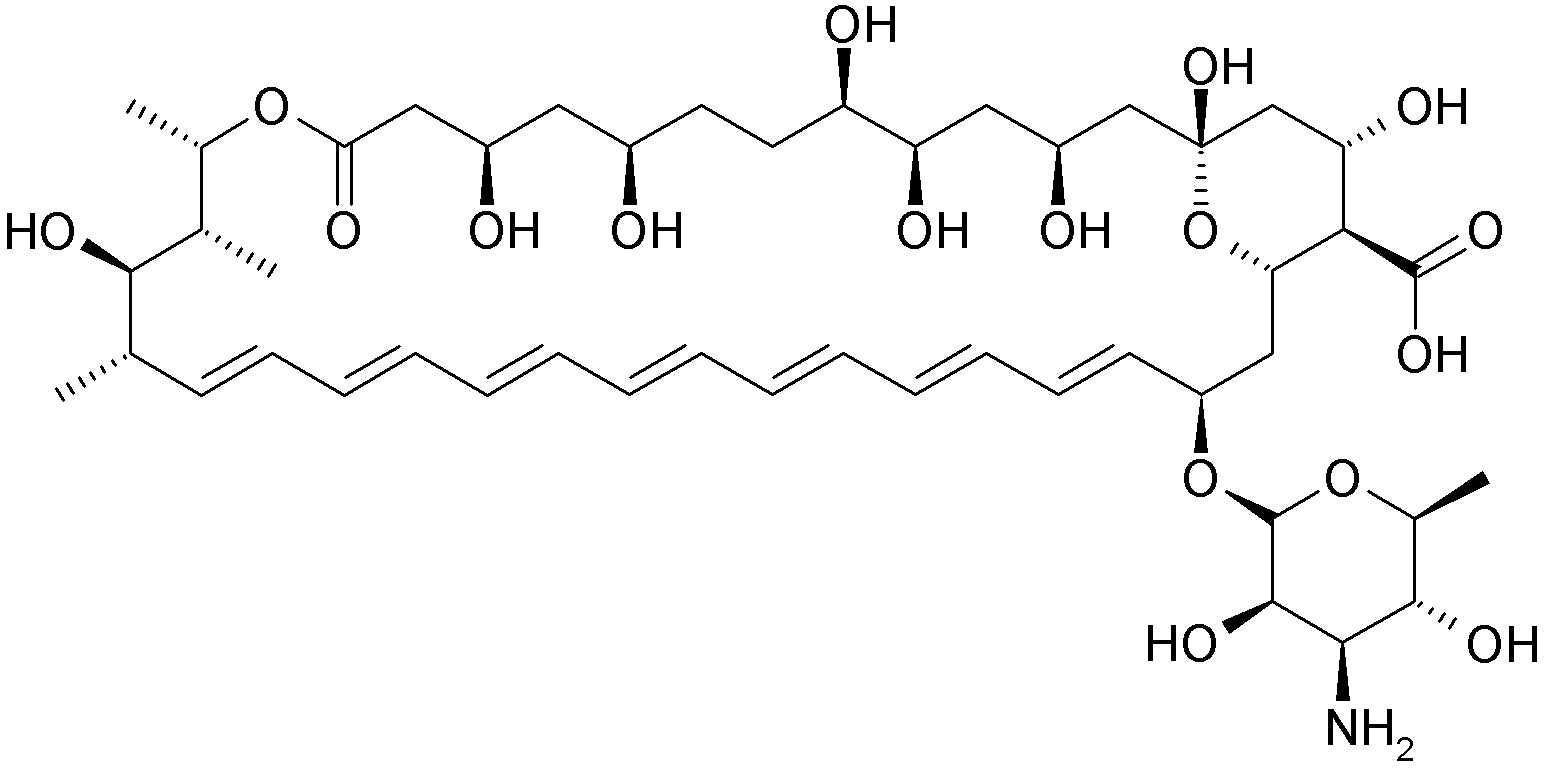
Antifúngico   Amphotericin B  
aerossol
colutório injetável solução oftálmica Solução Oral
Estabilidade de preparações farmacêuticas Estabilidade em misturas Factores que afectam a sua estabilidade Compatibilidade Bibliografía pdf
   estrutura química  

aerossol

Factores que afectam a sua estabilidade   aerossol   Factores que afectam a sua estabilidade : Amphotericin B        
Ausência de dados

  Mentions Légales