Ultimele actualizari :
18/03/2026
Antifungic   Amphotericin B  
Aerosol
colir Gargara Injectabil Soluţie orală
Stabilitatea preparatelor farmaceutice Stabilitatea in amestec Factorii care influenteaza stabilitatea Compatibilitate Bibliografie pdf
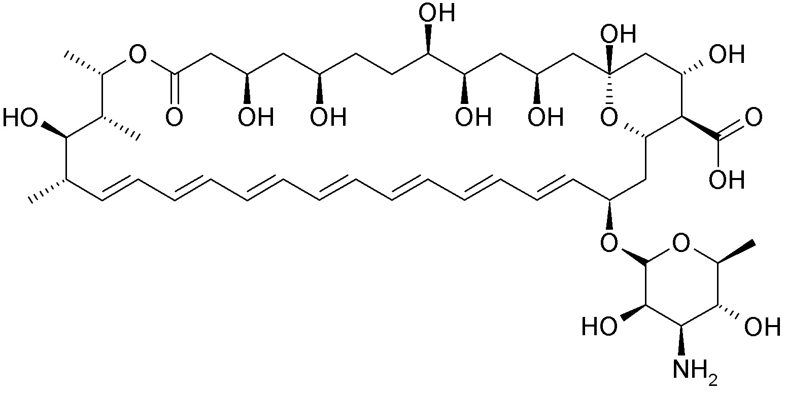
   Formula chimica  

Aerosol

Factorii care influenteaza stabilitatea   Aerosol   Factorii care influenteaza stabilitatea : Amphotericin B        
Absenta de date

  Mentions Légales