آخر تحديث :
18/03/2026
مضاد للفطريات   Amphotericin B  
الأيروصولات
حقن عن طريق الفم  غسول الفم قطرات العين
استقرار المستحضرات الصيدلانية استقرار مخاليط العوامل التي تؤثر على الاستقرار التوافق مراجع pdf
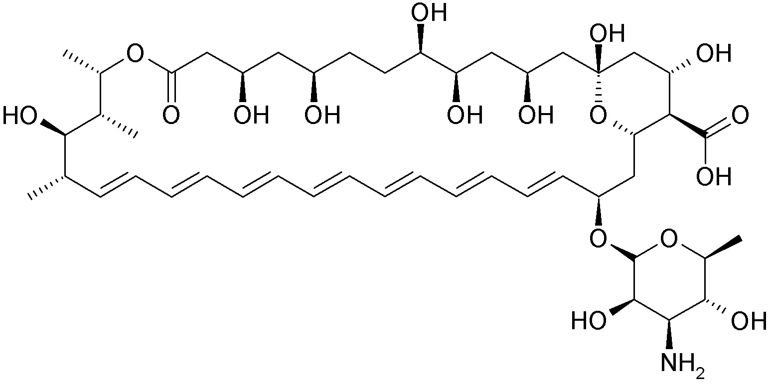
   التركيب الكيميائي  

الأيروصولات

العوامل التي تؤثر على الاستقرار   الأيروصولات   العوامل التي تؤثر على الاستقرار : Amphotericin B        
لا توجد بيانات

  Mentions Légales