Viimeisin päivitys :
18/03/2026
Sienilääkkeet   Amphotericin B  
Aerosoli
Injektioneste Oraaliliuos Silmätipat Suuvesi
Vakaus lääkevalmisteen Stabilius seoksissa Tekijät, jotka vaikuttavat stabiliuteen Yhteensopivuus Viitteet pdf
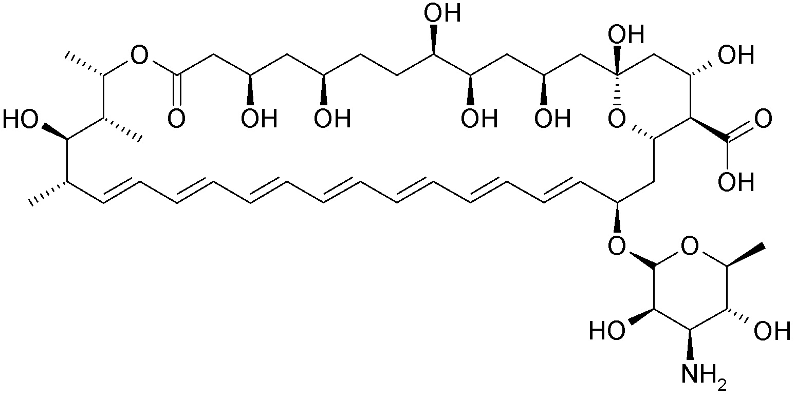
   Kemiallinen rakenne  

Aerosoli

Tekijät, jotka vaikuttavat stabiliuteen   Aerosoli   Tekijät, jotka vaikuttavat stabiliuteen : Amphotericin B        
ei tietoa

  Mentions Légales