Zadnji put ažurirano :
18/03/2026
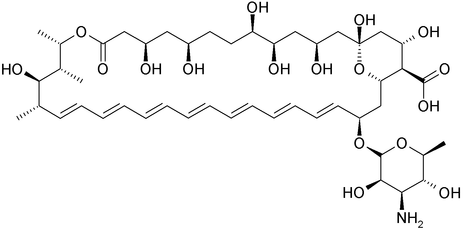
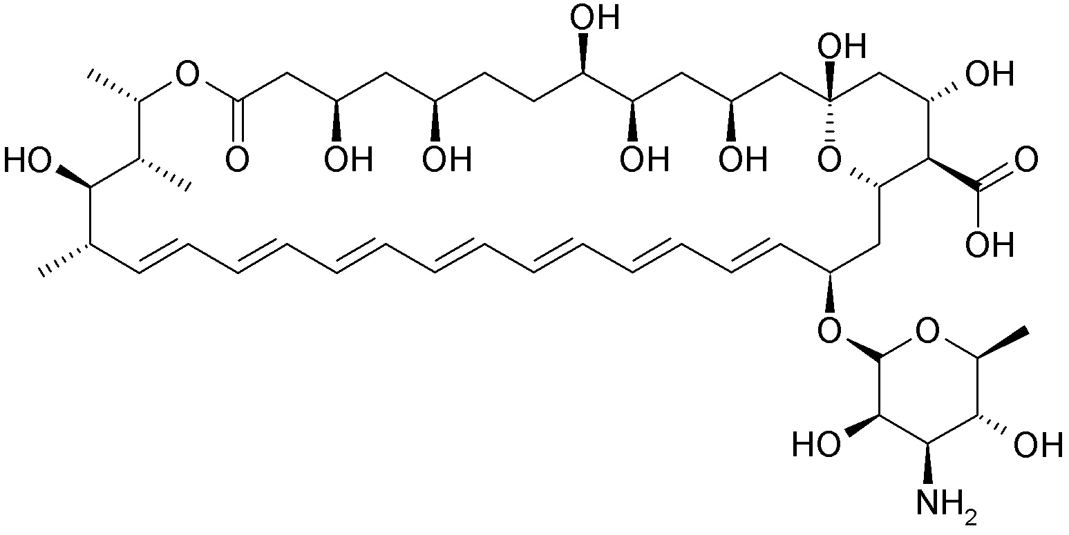
antifungicid   Amphotericin B  
aerosol
injekcija kapi za oko oralna otopina  otopina za ispiranje usne šupljine
Stabilnost farmaceutskih pripravaka Stabilnost mješavine Stabilizacijski faktor Kompatibilnosti Bibliografija pdf
   Kemijska struktura  

aerosol

Stabilizacijski faktor   aerosol   Stabilizacijski faktor : Amphotericin B        
bez podataka

  Mentions Légales