Последно актуализиране :
18/03/2026
Противогъбично средство   Amphotericin B  
Аерозол
Инжекция/Инжекционен Капки за очи Орален разтвор Разтвор за уста
Стабилност на лекарствени препарати Стабилност на смеси Фактори, повлияващи стабилността Съвместимост Библиография Pdf
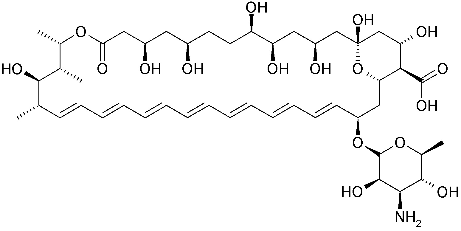
   Химична структура  

Аерозол

Фактори, повлияващи стабилността   Аерозол   Фактори, повлияващи стабилността : Amphotericin B        
Няма данни

  Mentions Légales