Posledná aktualizácia :
18/03/2026
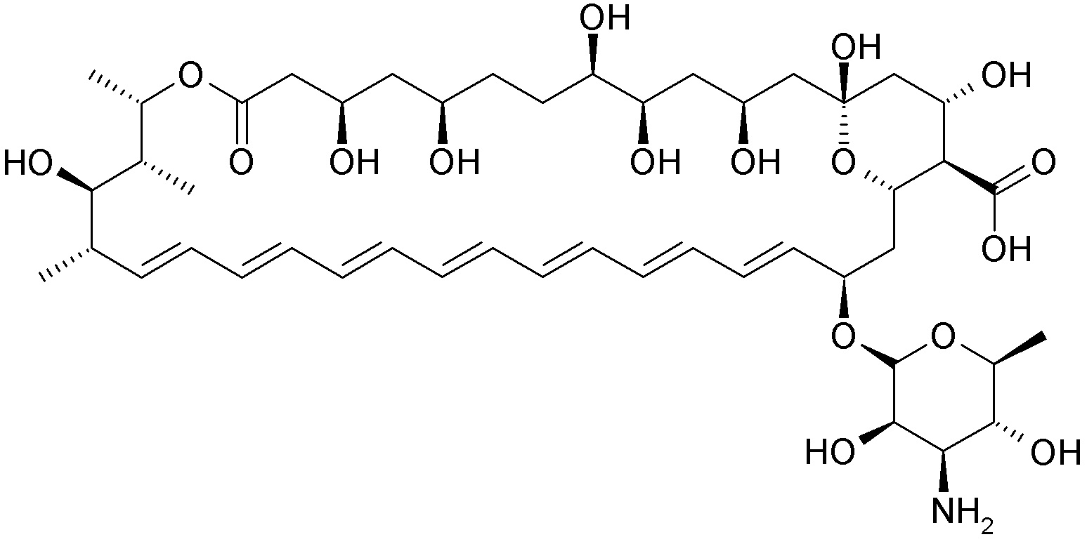
antimykotikum   Amphotericin B  
Aerosól
Injekcia Kloktadlo Očná instilácia Perorálny roztok
Stabilita farmaceutických prípravkov Stabilita v zmesiach Faktory ovplyvňujúce stabilitu Kompatibility Odkazy na literatúru PDF
   Chemický vzorec  

Aerosól

Faktory ovplyvňujúce stabilitu   Aerosól   Faktory ovplyvňujúce stabilitu : Amphotericin B        
žiadne údaje

  Mentions Légales