zadnja posodobitev :
18/03/2026
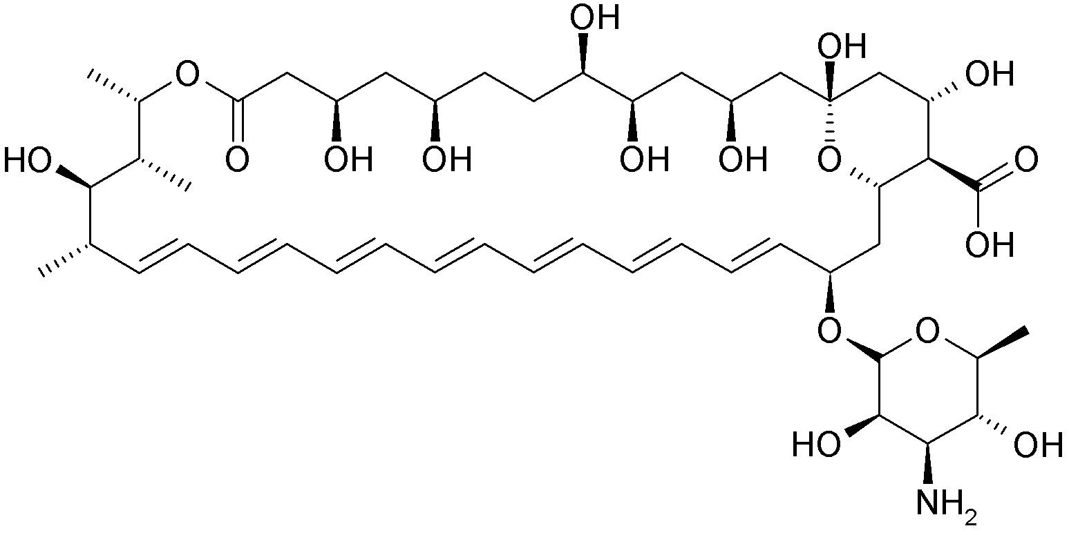
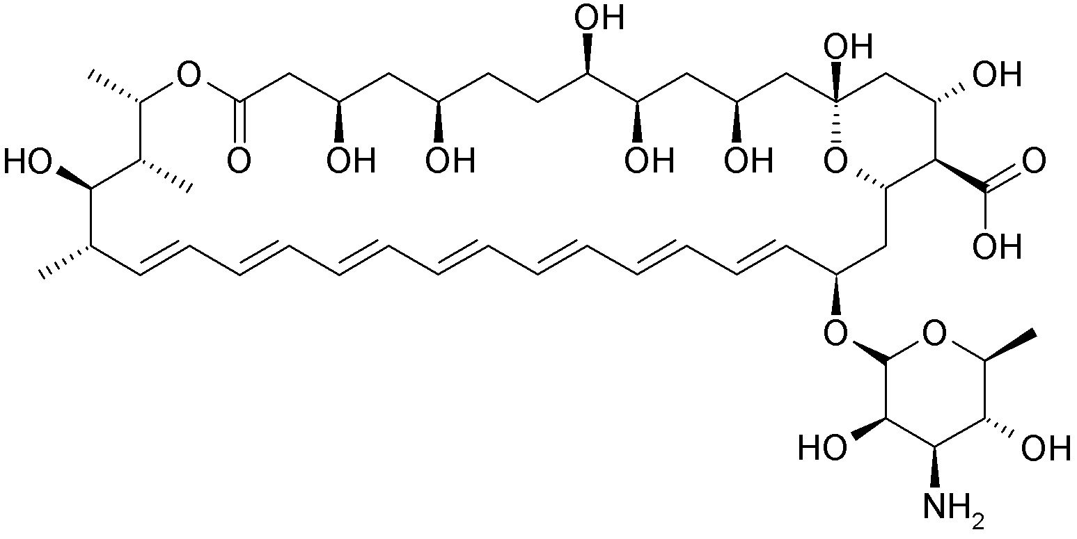
Antimikotik   Amphotericin B  
Aerosol
Brizgalka Kapljice za oči Peroralna raztopina Ustna voda
Stabilnost farmacevtskih preparatov Stabilnost mešanice Faktorji, ki vplivajo na stabilnost Kompatibilnost Viri pdf
   Kemična formula  

Aerosol

Faktorji, ki vplivajo na stabilnost   Aerosol   Faktorji, ki vplivajo na stabilnost : Amphotericin B        
ni podatka

  Mentions Légales