Последнее обновление :
17/12/2025
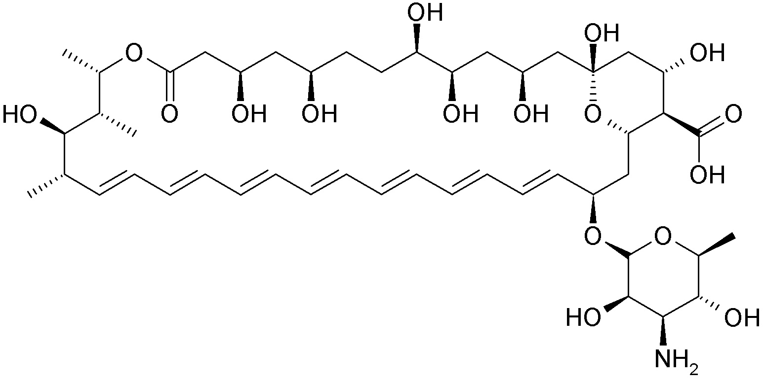
Противогрибковое средство   Amphotericin B  
Аэрозоль
Глазные капли Инъекция Ополаскиватель для полости рта Раствор для перорального приёма
Стабильность фармацевтических препаратов Стабильность смесей Факторы, которые влияют на стабильность Совместимость Библиография pdf
   Химическая структура  

Аэрозоль
Совместимость   Аэрозоль   Совместимость : Amphotericin B              
данных нет

  Mentions Légales