Cập nhật lần cuối :
27/11/2025
điện giải   Calcium gluconate  
Dạng bôi da
Dạng tiêm
Tính ổn định của các chế phẩm Độ ổn định khi trộn lẫn Những yếu tố ảnh hưởng đến độ ổn định Khả năng tương thích Tài liệu tham khảo Pdf
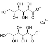
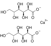
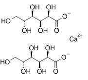
   Cấu trúc hóa học  

Dạng bôi da
Tính ổn định của các chế phẩm   Dạng bôi da   Tính ổn định của các chế phẩm : Calcium gluconate     
Bao bì Nguyên bản Tá dược Nhiệt độ Bảo quản Thời gian ổn định Mục lục
Thủy tinh Bột 2.5 g
Calcium gluconate
Hydroxyethylcellulose 3 g
Propylen glycol 5 g
Nước tinh khiết 87 g
25°C Không rõ
180 Ngày
3017


  Mentions Légales