Poslední aktualizace :
18/03/2026
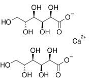
elektrolitas   Calcium gluconate  
Tepalai
Įpurškimas
Stabilumas farmacinių preparatų Mišinių stabilumas Stabilumą lemiantys veiksniai Suderinamumas Bibliografija pdf
   Cheminė sandara  

Tepalai
Stabilumas farmacinių preparatų   Tepalai   Stabilumas farmacinių preparatų : Calcium gluconate     
Pakuotė Origine Ekscipientas Temperatūra Laikymas Stabilumo trukmė Nuorodos
Stiklas Milteliai 2.5 g
Calcium gluconate
Hidroksietilceliuliozė 3 g
Propilenglikolis 5 g
Išvalytas vanduo 87 g
25°C Nenurodyta
180 Diena
3017


  Mentions Légales