Ultimo aggiornamento :
05/12/2025
elettrolito   Calcium gluconate  
Unguenti
Iniezione
Stabilità dei preparati farmaceutici Stabilità in miscela Fattori che influenzano la stabilità Compatibilità Bibliografia pdf
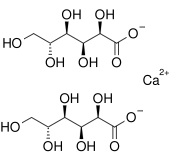
   Struttura chimica  

Unguenti
Stabilità dei preparati farmaceutici   Unguenti   Stabilità dei preparati farmaceutici : Calcium gluconate     
contenitore Origine eccipiente Temperatura Conservazione Durata della stabilità Bibliografia
Vetro polvere 2.5 g
Calcium gluconate
idrossietilcellulosa 3 g
glicole propilenico 5 g
Acqua depurata 87 g
25°C Non precisata
180 Giorno
3017


  Mentions Légales