viimane versioon :
18/03/2026
elektrolüüt   Calcium gluconate  
salv
Süsteravim
Stabiilsust ravimpreparaadid Stabiilsust mõjutavad tegurid stabiilsust mõjutavad faktorid Sobimatus Viited pdf
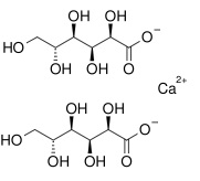
   keemiline struktuur  

salv
Stabiilsust ravimpreparaadid   salv   Stabiilsust ravimpreparaadid : Calcium gluconate     
konteiner Origine  abiaine temperatuur ladustamine Stabiilsuse kestus Viited
klaas pulber 2.5 g
Calcium gluconate
hüdroksüetüültselluloos 3 g
propüleenglükool 5 g
Puhastatud vesi 87 g
25°C pole täpsustatud
180 päev
3017


  Mentions Légales