Pēdējā atjaunošana :
18/03/2026
elektrolīts   Calcium gluconate  
Ziedes
Injekcija
Stabilitāte farmaceitisko preparātu Maisījuma stabilitāte Stabilitāti ietekmējoši faktori Saderība Literatūras saraksts pdf
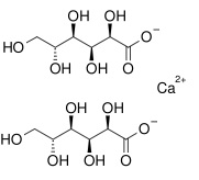
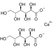
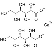
   Ķīmiskā uzbūve   

Ziedes
Stabilitāte farmaceitisko preparātu   Ziedes   Stabilitāte farmaceitisko preparātu : Calcium gluconate     
Iepakojums Origine Palīgviela Temperatūra Glabāšana Stabilitātes ilgums Literatūras saraksts
Stikls Pūderis 2.5 g
Calcium gluconate
Hidroksietilceluloze 3 g
propilēnglikols 5 g
Attīrīts ūdens 87 g
25°C Nav specifisks
180 Diena
3017


  Mentions Légales