Utolsó frissítés :
27/11/2025
elektrolit   Calcium gluconate  
kenőcs
Injekció
Stabilitása gyógyszerészeti készítmények A keverékek stabilitása Stabilitást befolyásoló tényezők Kompatibilitás Irodalom pdf
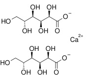
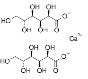
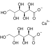
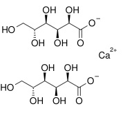
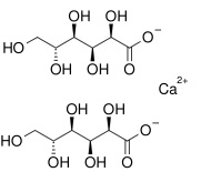
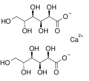
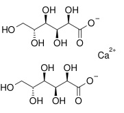
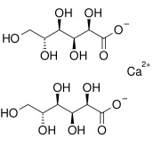
   Kémiai szerkezet   

kenőcs
Stabilitása gyógyszerészeti készítmények   kenőcs   Stabilitása gyógyszerészeti készítmények : Calcium gluconate     
Csomagolás Origine segédanyag Hőmérséklet Tárolás A stabilitás időtartama Irodalom
Üveg por 2.5 g
Calcium gluconate
hidroxiethylcellulóz 3 g
propilén-glikol 5 g
Tisztított víz 87 g
25°C Nincs meghatározva
180 Nap
3017


  Mentions Légales