آخر تحديث :
16/12/2025
المنحل بالكهرباء   Calcium gluconate  
المراهم
حقن
استقرار المستحضرات الصيدلانية استقرار مخاليط العوامل التي تؤثر على الاستقرار التوافق مراجع pdf
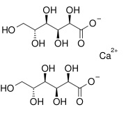
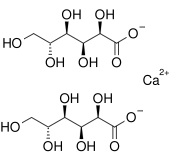
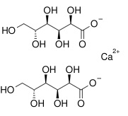
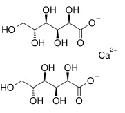
   التركيب الكيميائي  

المراهم
استقرار المستحضرات الصيدلانية   المراهم   استقرار المستحضرات الصيدلانية : Calcium gluconate     
حاوية Origine الاضافات درجة الحرارة تخزين مدة الاستقرار مراجع
زجاج مسحوق 2.5 g
Calcium gluconate
هيدروكسي 3 g
البروبيلين غليكول 5 g
تنقية المياه 87 g
25°C لم يتم تحديد
180 يوم
3017


  Mentions Légales