Τελευταία ενημέρωση :
16/12/2025
ηλεκτρολυτών   Calcium gluconate  
Αλοιφές
Ενέσιμο
Σταθερότητα και συμβατότητα των φαρμάκων Σταθερότητα σε μίγματα Παράγοντας που επηρεάζει τη σταθερότητα Συμβατότητες Βιβλιογραφία pdf
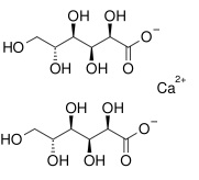
   χημική δομή  

Αλοιφές
Σταθερότητα και συμβατότητα των φαρμάκων   Αλοιφές   Σταθερότητα και συμβατότητα των φαρμάκων : Calcium gluconate     
Υποδοχέας Origine Έκδοχο Θερμοκρασία Αποθήκευση Διάρκεια σταθερότητας Βιβλιογραφία
Ύαλος Σκόνη 2.5 g
Calcium gluconate
Υδροξυαιθυλοκυτταρίνη 3 g
Προπυλενογλυκόλη 5 g
Κεκαθαρμένο νερό 87 g
25°C Απροσδιόριστο
180 Ημέρα
3017


  Mentions Légales