Laatste update :
27/11/2025
elektrolyt   Calcium gluconate  
zalf
injecteerbaar geneesmiddel
Stabiliteit van farmaceutische preparaten Stabiliteit in mengsels Factoren die de stabiliteit beïnvloeden Verenigbaarheden Literatuur pdf
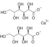
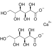
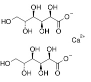
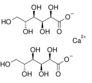
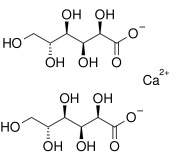
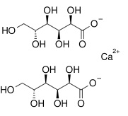
   Molecuulstructuur  

zalf
Stabiliteit van farmaceutische preparaten   zalf   Stabiliteit van farmaceutische preparaten : Calcium gluconate     
Verpakking Origine  ikˈsipēənt hulpstof Temperatuur Bewaring Duur van de stabiliteit Literatuur
Glas poeder 2.5 g
Calcium gluconate
hydroxyethylcellulose 3 g
Propyleenglycol 5 g
gezuiverd water 87 g
25°C Niet gespecificeerd
180 Dag
3017


  Mentions Légales