Zadnji put ažurirano :
27/11/2025
elektrolita   Calcium gluconate  
masti
injekcija
Stabilnost farmaceutskih pripravaka Stabilnost mješavine Stabilizacijski faktor Kompatibilnosti Bibliografija pdf
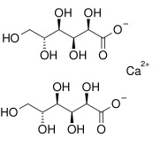
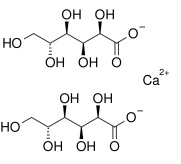
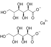
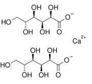
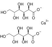
   Kemijska struktura  

masti
Stabilnost farmaceutskih pripravaka   masti   Stabilnost farmaceutskih pripravaka : Calcium gluconate     
Kontejner Origine pomoćna tvar temperatura Konzerviranje Trajanje stabilnosti Bibliografija
čaša prašak 2.5 g
Calcium gluconate
Hidroksietilceluloza 3 g
Propilen glikol 5 g
pročišćena voda 87 g
25°C nespecifičan
180 dan
3017


  Mentions Légales