Última actualização :
18/03/2026
eletrólito   Calcium gluconate  
Pomadas
injetável
Estabilidade de preparações farmacêuticas Estabilidade em misturas Factores que afectam a sua estabilidade Compatibilidade Bibliografía pdf
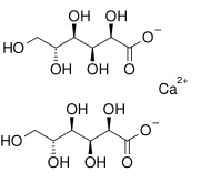
   estrutura química  

Pomadas
Estabilidade de preparações farmacêuticas   Pomadas   Estabilidade de preparações farmacêuticas : Calcium gluconate     
Embalagem Origine excipiente temperatura conservação Duração da estabilidade Bibliografia
vidro pó 2.5 g
Calcium gluconate
hidroxietilcelulose 3 g
propilenoglicol 5 g
A água purificada 87 g
25°C no especificado
180 dia
3017


  Mentions Légales