Poslední aktualizace :
27/11/2025
elektrolyt   Calcium gluconate  
Masti
injekce
Stabilita farmaceutických přípravků Stabilita směsí Faktory ovlivňující stabilitu Kompatibilita Odkazy pdf
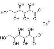
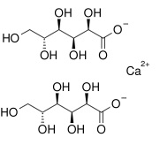
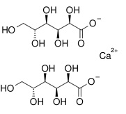
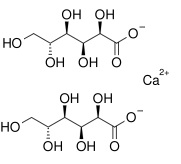
   Chemický vzorec  

Masti
Stabilita farmaceutických přípravků   Masti   Stabilita farmaceutických přípravků : Calcium gluconate     
Obal Origine Pomocné látky Teplota Uchovávání Trvání stability Odkazy
Sklo prášek 2.5 g
Calcium gluconate
Hydroxyethylcellulose 3 g
propylenglykol 5 g
Čištěná voda 87 g
25°C Nespecifikováno
180 Den
3017


  Mentions Légales