Останнє оновлення :
18/03/2026
Infostab
Список препаратів
Зведені списки
Пошук сумісності
Таблиця сумісності Y-site
Список літератури
Дослідницькі групи
valistab
Плакати
Посилання
Спонсори
Автори
Посібник користувача
Newsletter
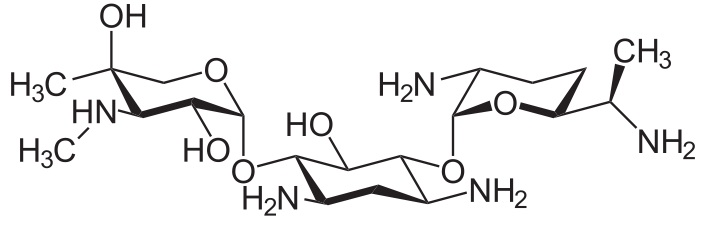
Gentamicin sulfate
Хімічна структура
Стабільність фармацевтичних препаратів : Gentamicin sulfate
80 mg
®=?
NaCl 0.9%
>>10 ml
2-8°C
42
2547
140 mg
®=?
NaCl 0.9%
>>10 ml
2-8°C
42
2547
80 mg
®=?
NaCl 0.9%
>>10 ml
26°C
7
2547
140 mg
®=?
NaCl 0.9%
>>10 ml
26°C
7
2547
5 ml
gentamycine sulfate 40 mg/ml ®=? (Lyphomed)
Genoptic® eye-drops 3 mg/ml
2 ml
4-8°C
90
2487
Mentions Légales