Seneste opdatering :
18/03/2026
Antibiotisk   Gentamicin sulfate  
Øjendråber
Injektion
Stabilitet af farmaceutiske tilberedninger Stabilitet i blandinger Faktorer der påvirker stabiliteten Kompatibilitet Bibliografi pdf
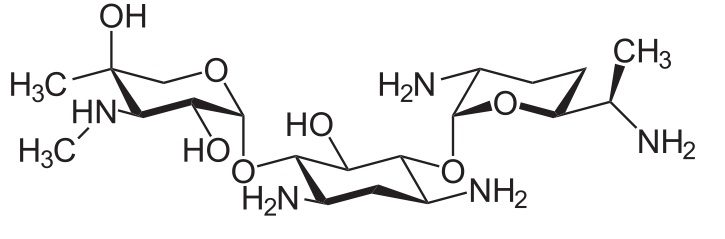
   Kemisk struktur  

Øjendråber
Stabilitet af farmaceutiske tilberedninger   Øjendråber   Stabilitet af farmaceutiske tilberedninger : Gentamicin sulfate     
Beholder Origine Hjælpestof Temperatur Konservering Varighed af stabilitet Bibliografi
Glas Medicinflaske til injektion 80 mg
®=?
NaCl 0.9% >>10 ml
2-8°C Beskyt mod lys
42 Dag
2547

Glas Medicinflaske til injektion 140 mg
®=?
NaCl 0.9% >>10 ml
2-8°C Beskyt mod lys
42 Dag
2547

Glas Medicinflaske til injektion 80 mg
®=?
NaCl 0.9% >>10 ml
26°C Ikke nærmere angivet
7 Dag
2547

Glas Medicinflaske til injektion 140 mg
®=?
NaCl 0.9% >>10 ml
26°C Ikke nærmere angivet
7 Dag
2547

Plastflaske Medicinflaske til injektion 5 ml
gentamycine sulfate 40 mg/ml ®=? (Lyphomed)
Genoptic® øjendråber 3 mg/ml 2 ml
4-8°C Beskyt mod lys
90 Dag
2487


  Mentions Légales