Последно актуализиране :
18/03/2026
Антибиотик   Gentamicin sulfate  
Капки за очи
Инжекция/Инжекционен
Стабилност на лекарствени препарати Стабилност на смеси Фактори, повлияващи стабилността Съвместимост Библиография Pdf
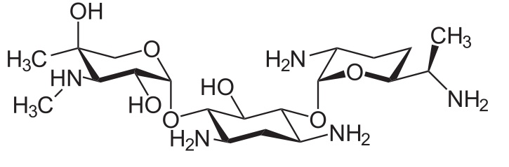
   Химична структура  

Капки за очи
Стабилност на лекарствени препарати   Капки за очи   Стабилност на лекарствени препарати : Gentamicin sulfate     
Контейнер Origine Помощно вещество Температура Съхранение Продължителност на стабилността Библиография
Стъкло Фпакон 80 mg
®=?
Натриев хлорид 0.9% >>10 ml
2-8°C Защита от светлина
42 Ден
2547

Стъкло Фпакон 140 mg
®=?
Натриев хлорид 0.9% >>10 ml
2-8°C Защита от светлина
42 Ден
2547

Стъкло Фпакон 80 mg
®=?
Натриев хлорид 0.9% >>10 ml
26°C Не е уточнено
7 Ден
2547

Стъкло Фпакон 140 mg
®=?
Натриев хлорид 0.9% >>10 ml
26°C Не е уточнено
7 Ден
2547

Пластмасова бутилка Фпакон 5 ml
gentamycine sulfate 40 mg/ml ®=? (Lyphomed)
Геноптик® капки за очи 3mg/ml 2 ml
4-8°C Защита от светлина
90 Ден
2487


  Mentions Légales