Son güncelleme :
18/03/2026
Antibiyotik   Gentamicin sulfate  
Göz damlası
Enjeksiyon
Farmasötik preparatlar Kararlılığı Karışımlardaki stabilitesi Stabiliteyi etkileyen faktörler Uyumluluk Kaynaklar pdf
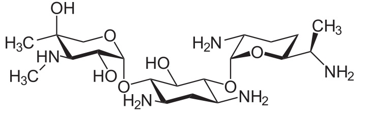
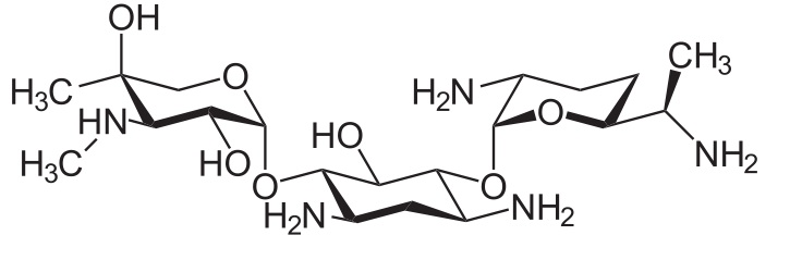
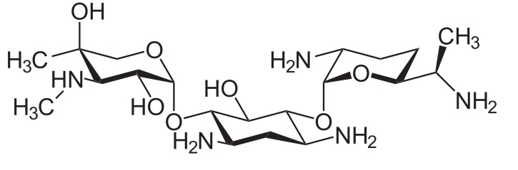
   Kimyasal yapı   

Göz damlası
Farmasötik preparatlar Kararlılığı   Göz damlası   Farmasötik preparatlar Kararlılığı : Gentamicin sulfate     
Saklama kabı Origine yardımcı madde Isı Saklama    Stabilite süresi Kaynaklar
Cam Enjeksiyon için ilaç şişesi 80 mg
®=?
% 0.9 NaCl >>10 ml
2-8°C Işıktan koruyunuz
42 Gün
2547

Cam Enjeksiyon için ilaç şişesi 140 mg
®=?
% 0.9 NaCl >>10 ml
2-8°C Işıktan koruyunuz
42 Gün
2547

Cam Enjeksiyon için ilaç şişesi 80 mg
®=?
% 0.9 NaCl >>10 ml
26°C Belirtilmemiş
7 Gün
2547

Cam Enjeksiyon için ilaç şişesi 140 mg
®=?
% 0.9 NaCl >>10 ml
26°C Belirtilmemiş
7 Gün
2547

Plastik şişe Enjeksiyon için ilaç şişesi 5 ml
gentamycine sulfate 40 mg/ml ®=? (Lyphomed)
Genoptic® göz damlası 3 mg/ml 2 ml
4-8°C Işıktan koruyunuz
90 Gün
2487


  Mentions Légales