Ultimele actualizari :
18/03/2026
Antibiotic   Gentamicin sulfate  
colir
Injectabil
Stabilitatea preparatelor farmaceutice Stabilitatea in amestec Factorii care influenteaza stabilitatea Compatibilitate Bibliografie pdf
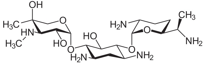
   Formula chimica  

colir
Stabilitatea preparatelor farmaceutice   colir   Stabilitatea preparatelor farmaceutice : Gentamicin sulfate     
Continut Origine Excipient Temperatura Conservare Durata stabilității Bibiografie
sticla Flacon Flacon pentru medicament injectabil pentru injecţie 80 mg
®=?
NaCl 0.9% >>10 ml
2-8°C Ferit de lumina
42 Ziua
2547

sticla Flacon Flacon pentru medicament injectabil pentru injecţie 140 mg
®=?
NaCl 0.9% >>10 ml
2-8°C Ferit de lumina
42 Ziua
2547

sticla Flacon Flacon pentru medicament injectabil pentru injecţie 80 mg
®=?
NaCl 0.9% >>10 ml
26°C Neprecizat
7 Ziua
2547

sticla Flacon Flacon pentru medicament injectabil pentru injecţie 140 mg
®=?
NaCl 0.9% >>10 ml
26°C Neprecizat
7 Ziua
2547

Sticla din plastic Flacon Flacon pentru medicament injectabil pentru injecţie 5 ml
gentamycine sulfate 40 mg/ml ®=? (Lyphomed)
Genoptic® picaturi pentru ochi 3 mg/ml 2 ml
4-8°C Ferit de lumina
90 Ziua
2487


  Mentions Légales