Utolsó frissítés :
18/03/2026
Infostab
Listák
Összesítő lista
Kompatibilitások keresése
Y-site kompatibilitási táblázat
Irodalom
kutatócsoportok
valistab
poszter
Kapcsolatok
támogatók
Szerző
Felhasználói útmutató
Hírlevél
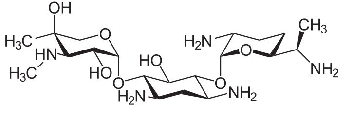
Gentamicin sulfate
Kémiai szerkezet
Stabilitása gyógyszerészeti készítmények : Gentamicin sulfate
80 mg
®=?
NaCl 0.9%
>>10 ml
2-8°C
42
2547
140 mg
®=?
NaCl 0.9%
>>10 ml
2-8°C
42
2547
80 mg
®=?
NaCl 0.9%
>>10 ml
26°C
7
2547
140 mg
®=?
NaCl 0.9%
>>10 ml
26°C
7
2547
5 ml
gentamycine sulfate 40 mg/ml ®=? (Lyphomed)
Genoptic® eye-drops 3 mg/ml
2 ml
4-8°C
90
2487
Mentions Légales