Ultimo aggiornamento :
05/12/2025
Infostab
Elenco delle molecole
Elenchi sommari
Cerca compatibilità
Tabella di compatibilità del sito Y
Bibliografia
Le squadre di ricerca
valistab
poster
Connessioni
sponsor
Autori
Manuale d’uso
Bollettino
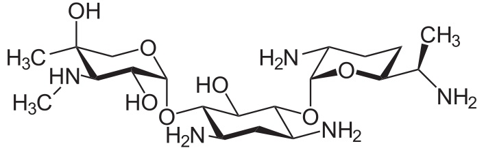
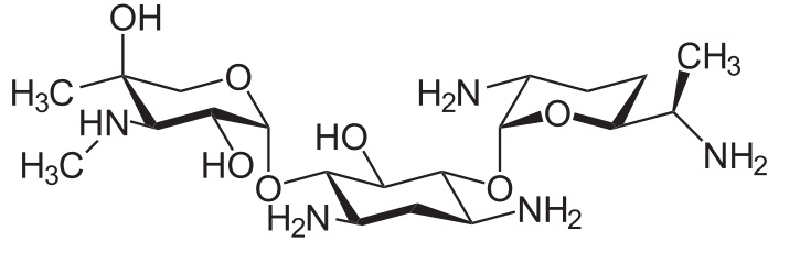
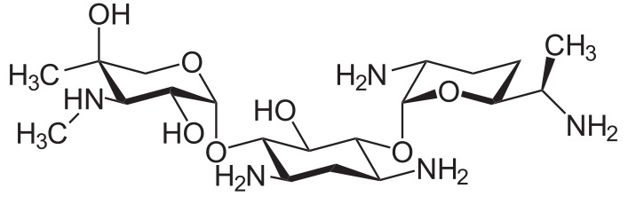
Gentamicin sulfate
Struttura chimica
Stabilità dei preparati farmaceutici : Gentamicin sulfate
80 mg
®=?
NaCl 0.9%
>>10 ml
2-8°C
42
2547
140 mg
®=?
NaCl 0.9%
>>10 ml
2-8°C
42
2547
80 mg
®=?
NaCl 0.9%
>>10 ml
26°C
7
2547
140 mg
®=?
NaCl 0.9%
>>10 ml
26°C
7
2547
5 ml
gentamycine sulfate 40 mg/ml ®=? (Lyphomed)
Genoptic® eye-drops 3 mg/ml
2 ml
4-8°C
90
2487
Mentions Légales