Ostatnia aktualizacja :
05/12/2025
Infostab
Listy
Listy
Szukaj zgodności
Tabela kompatybilności Y-site
Bibliografia
Zespoły badawcze
valistab
plakat
Połączenia
sponsorzy
Autor
Przewodnik użytkoywnika
Biuletynu
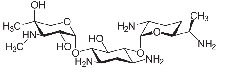
Gentamicin sulfate
Struktura chemiczna
Stabilność preparatów farmaceutycznych : Gentamicin sulfate
80 mg
®=?
NaCl 0.9%
>>10 ml
2-8°C
42
2547
140 mg
®=?
NaCl 0.9%
>>10 ml
2-8°C
42
2547
80 mg
®=?
NaCl 0.9%
>>10 ml
26°C
7
2547
140 mg
®=?
NaCl 0.9%
>>10 ml
26°C
7
2547
5 ml
gentamycine sulfate 40 mg/ml ®=? (Lyphomed)
Genoptic® krople oczne 3 mg/ml
2 ml
4-8°C
90
2487
Mentions Légales